#공업수학
#미적분학
오늘은 푸리에 급수전개를 구하는 몇 가지 예제를 풀어봅시다
목차
0. Intro
1. Definitions
2. Examples
3. Summary
푸리에 급수란, 주기함수를 삼각함수들의 합으로 나타낸 것을 말합니다.
테일러 급수와 같이 함수 f(x)를 기본적인 함수들로 쪼개어 나타내는 것인데, 푸리에 급수는 "주기 함수"를 대상으로 한다는 특징이 있습니다.
[미분적분학] 테일러 급수전개
#미분적분학 테일러 급수전개는 미분방정식을 공부하면서도 나오는 내용이고, 어떤 값을 근사하는 데도 사...
blog.naver.com
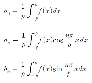
> 주기가 2p인 함수의 푸리에 급수 전개

각각의 계수는 다음과 같습니다.

교재에 따라서 상수항인 a0/2를 a0로 표현하기도 합니다.
Examples
푸리에 급수 전개를 빠르게 수행하기 위해서는 주어진 함수와 각각의 계수가 의미하는 바를 잘 알아야 합니다.
1) 상수항인 a0/2는 f(x)의 평균값을 의미 (함수의 평균값 = 면적 / 한 주기)
2) y축 대칭 -> bn = 0
3) 원점 또는 (0, a0/2)대칭 -> an = 0
코사인 함수가 y축 대칭이니 그 계수인 an이 y축 대칭과 관련이 있고
사인 함수가 원점 대칭이니 그 계수인 bn이 점 대칭과 관련이 있다고 연결지어 기억해두시면 쉽습니다.

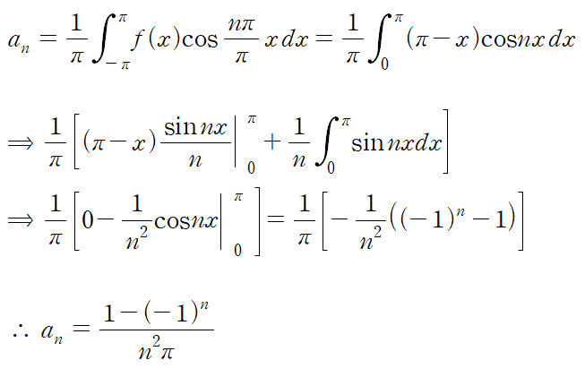
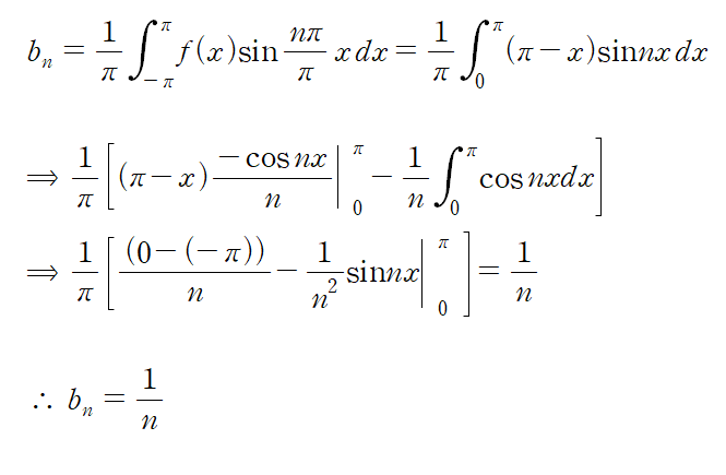
(예제 1) f(x)에 대하여 푸리에 급수 전개를 수행하여라

f(x)의 개형은 다음과 같습니다.

우리가 관심있는것은 [-π, π] 이니까 그 부분만 떼어서 보자구요

먼저, a0를 구하기 위해 한 주기에서의 평균을 구합니다.
넓이를 구하고

그것을 구간의 길이인 2π로 나누면 평균 함숫값이 나옵니다


이 함수는 별다른 대칭성을 찾을 수 없기 때문에 an과 bn을 모두 구해주어야 합니다.


푸리에 급수에서 계수를 구할 때 부분적분(Integration by parts) 을 활용해야 하는 경우가 많으니 부분적분 기초를 충분히 연습하시고 푸리에 급수를 공부하시는 것을 추천드립니다
최종적인 f(x)의 푸리에 급수 전개는 다음과 같습니다.

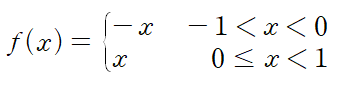
(예제 2) f(x)에 대하여 푸리에 급수 전개를 수행하여라


먼저 f(x)의 평균값을 구합니다.
[-1,0]에서의 넓이는 직각삼각형의 넓이이니 1/2, [0,1]에서의 넓이도 마찬가지로 1/2입니다.
즉 한 주기에서 함숫값의 평균은 (1/2+1/2)/2 = 1/2가 됩니다

이럴 거면 a0/2는 왜 정의식이 있냐고 하실 수 있는데,
이러한 방법으로 구할 수 없는 복잡한 상황에서 적분으로 표현된 정의식을 사용해야 합니다.
다음으로는 f(x)의 형태가 y축 대칭이므로 bn = 0 이라는 사실을 알 수 있습니다

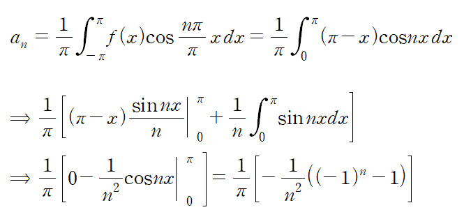
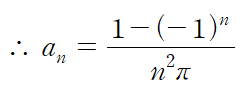
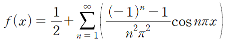
정의에 따라 an을 구하면 다음과 같습니다.



a0의 값과 an, bn의 존재여부를 f(x)의 형태로부터 알 수 있지만,
an과 bn은 실제 적분을 계산해서 구해주어야 합니다.
몇 가지 복잡한 부분적분을 외워서 속도를 올릴 수도 있는데, an 또는 bn을 계산하지 않게 하는 이점만 가져가도 충분하다고 생각합니다.
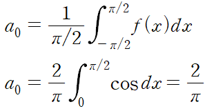
(예제 3) f(x)에 대하여 푸리에 급수 전개를 수행하여라


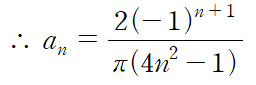
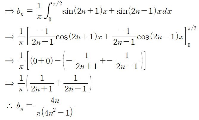
정의식에 f(x)를 대입해봅시다




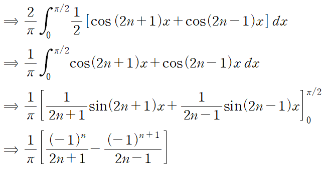
주기가 다른 두 삼각함수의 곱은 다음과 같은 공식을 사용해 덧셈꼴로 분해할 수 있습니다.



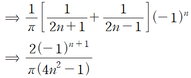
따라서 an은 다음과 같습니다.

같은 방법으로 bn을 구합니다



f(x)의 푸리에 급수 전개는 다음과 같습니다.

Summary
푸리에 급수 전개를 빠르게, 그리고 정확하게 하기 위해서는 적분능력이 필요합니다.
그중에서도 부분적분을 정확하게 하는 연습이 필요합니다.
a0은 구간의 평균값(넓이/구간의 길이)
an와 bn은 각각 대칭성을 기준으로 존재여부를 따집니다.
만약 점대칭이라면 -> an = 0 이므로 구하지 않고
만약 y충 대칭이라면 -> bn = 0 이므로 구하지 않습니다.
계산량을 절반 정도로 줄여주는 이점이 있기 때문에 공부하실 때 "정말 그런가..?"에서 끝내지 마시고 직접 구해서 0이 된다는 것을 확인해보시면 좋겠습니다.
감사합니다
'MATHEMATICS > 공업수학' 카테고리의 다른 글
| 라플라스 변환 미분방정식 예제 (0) | 2024.12.02 |
|---|---|
| [공업수학] dominant eigenvalue와 고유값의 근사, MATLAB code (0) | 2024.01.05 |
| [공업수학] 미분방정식의 멱급수 해법(Power Series Method) (0) | 2023.07.19 |
| 라플라스 변환 공식 모음 (0) | 2023.04.15 |
| [공업수학] 2.7-1 2계 비제차 미분방정식 : 미정계수법(Method of Undetermined Coefficients) (1) | 2023.01.21 |