반응형

분류 전체보기 219

라플라스 변환 미분방정식 예제

#라플라스변환#공업수학  라플라스변환으로 미분방정식 문제 세 개를 풀어봅시다.예제 1 : 기본적인 상수계수 2계 미분방정식예제 2 : 단위계단함수예제 3 : 디랙 델타​​  ​(예제 1) 미분방정식의 해를 구하여라​​라플라스 변환으로 미분방정식을 풀려면 도함수 공식을 알고 있어야 합니다.https://blog.naver.com/subprofessor/222200501838 [공업수학] 6.2-1 라플라스 변환 : 도함수 공식#공업수학 지난 시간에 이어 라플라스 변환의 근본을 이루는 도함수 공식을 알아봅시다 미분 공식(도함수 ...blog.naver.com  ​​> 도함수 공식​​(1) 주어진 미분방정식의 양변에 라플라스 변환을 취합니다.도함수 공식을 적용하고Y에 대해 정리합니다. ​(2) 부분분수 분해부..

[선형대수학] 행렬의 인수분해로 역행렬 구하기

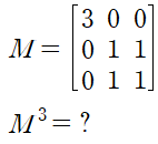
#선형대수학​단위행렬 I 에 대해서는 행렬을 인수분해처럼 다뤄도 괜찮다.​어차피 행렬곱 과정에서 소거가 되기 때문인데요, 예제를 보겠습니다.​​​​(예제 1) 행렬 M에 대하여 M^3를 구하여라. 이때 행렬 M의 세제곱을 직접적으로 계산해서는 안된다. ​​​아래와 같이 행렬 M을 인수분해할 수 있습니다.​이렇게 인수분해할 수 있는 것은 단위행렬이기 때문입니다.​분해된 행렬을 계산하는 것은 비교적 간단합니다. ​따라서 M의 세제곱은 아래와 같이 계산됩니다. ​​​​​​​​이보다 더 깔끔한 상황이 있습니다.​​​​​(예제 2) 주어진 행렬을 적절한 두 행렬의 합으로 표현하여 역행렬을 구하여라Hint : 행렬의 거듭제곱 ​​ ​  ​​​먼저 A를 I+B로 분해할 수 있습니다.​이때, I+B^3은 다음과 같이 ..

Stokes' First Problem

#유체역학​학부 수준에서는 다루지 않는 심화적인 점성유동 내용이지만 가볍게 읽을 수 있도록 최대한 기초부터 설명하였습니다.Stokes' first problem은 압력구배가 없는 상황에서, 하단의 flat plat의 움직임에 의해 생기는 유동을 다룹니다.​​목차1. 문제 상황 설명2. 지배 방정식, IC & BC3. Solution of stokes' first problem​​​​1. 문제 상황 설명문제의 상황은 이렇습니다.정지해있던 무한평판이 갑자기 움직이는 상황(transient; unsteady problem)​① 점성 유동② 비압축성 유체(ρ = const.)③ 압력이 일정(p = const. → ▽p = 0)④ t ≤ 0 까지 평판이 정지해있음⑤ t 〉0에서 하단의 평판이 속도 U로 움직임​중..

기계공학 2024.10.25

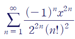
미분적분학 멱급수와 수렴반경 쉽게 이해하기 - Power Series, Radius of Convergence

​이번 글에서는 멱급수와 멱급수의 수렴반경을 알아봅시다. 목차1. 서론2. 멱급수를 간단한 함수로 표현하기3. 멱급수의 수렴  1. 서론멱급수(power series)는 다음과 같이 다항함수들의 합으로 표현된 급수를 말합니다.​Cn은 x^n의 계수입니다.​멱급수는 x의 값에 따라 수렴할수도 있고, 발산할 수도 있습니다. ​급수의 수렴/발산을 조사하는 여러 가지 test가 있습니다.https://blog.naver.com/subprofessor/222100880217 [미분적분학] 교대급수 판정법#미분적분학 오늘은 무한급수의 합이 수렴하는지, 발산하는지 알 수 있는 판정법(Test) 중 교대급수 판정...blog.naver.com  https://blog.naver.com/subprofessor/22210..

[재료역학] 보의 전단응력 예제(WF보)

#재료역학#고체역학​보의 전단력이 작용하고 있을 때 단면의 y지점에서 발생하는 전단응력은 다음과 같습니다.V는 단면에 작용하는 전단력y는 중립축(도심)으로부터의 거리 Q(y)는 y지점에서 "바깥쪽 단면에 대한 단면 일차 모멘트"I는 중립축 기준 단면 이차 모멘트(Iz 또는 Iyy). 모든 지점에서 동일한 값t는 y지점에서의 가로폭. y지점마다 다를 수 있음.​​응용하는 예제를 한 번만 따라가면 공식을 어떻게 적용하는지 바로 감을 잡을 수 있습니다.​예제를 통해 . . . > 복잡한 형상의 단면 이차 모멘트> 단면 일차 모멘트(Q)를 쉽게 구하는 방법> 전단응력의 분포등을 익히게 됩니다.​​​​​​(예제) WF보에 V = 10kN의 전단력이 작용할 때, 점 A, B, C에서의 전단응력을 구하여라C점은 도심..

[유체역학] 개수로 유동(Open Channel Flow) 예제 : Specific Energy

#유체역학​​관내유동(Pipe Flow)에서 유체 흐름의 구동력은 압력이었습니다.https://blog.naver.com/subprofessor/223069628395 [유체역학] 파이프 유동 예제 : 에너지 법칙, 수두손실#유체역학 파이프 유동 문제는 관의 형상(지름, 길이), 관의 재질(거칠기, 마찰), 압력 차이가 주된 관심사...blog.naver.com   위가 뚫려 있는 (Open Channel) 상황인 개수로 유동에서 유체 흐름의 구동력은 중력입니다.​에너지 관계식(베르누이 방정식) 속도 프로파일이 V1, V2로 각 단면에서 균일하다고 합시다.​1지점 상단(공기와 맞닿는 표면)과 2지점 상단에 베르누이 방정식을 적용하면 다음과 같습니다.여기서 1지점과 2지점 모두 대기압으로 사라지고​수로의 ..

Science 2020 Hidden fluid mechanics: Learning velocity and pressure fields from flow visualizations

원문 : https://www.science.org/doi/full/10.1126/science.aaw4741​​​1. 배경: 흐름 시각화와 유체 역학액체와 기체가 어떻게 움직이는지에 대한 연구인 유체 역학은 수세기 동안 시각적 기법을 사용하여 분석되어 왔습니다. 예를 들면 다음과 같습니다.​흐름 패턴을 이해하기 위한 연기 및 염료 시각화.실험실에서 흐름을 측정하기 위한 입자 이미지 속도 측정(PIV) 및 자기 공명 영상(MRI).그러나 이러한 시각화에서 정확한 속도와 압력 정보를 추출하는 것은 여전히 복잡한 작업입니다. 유체 역학을 계산하는 기존의 방법은 보존 법칙에서 파생된 편미분 방정식인 Navier-Stokes(NS) 방정식을 풀어야 하지만, 이는 특히 인체의 혈류와 같은 복잡한 형상과 시나리오의..

한컴 PDF 순서 바꾸기, 페이지 순서 바꾸기

한PDF 순서 바꾸기, 한PDF 페이지 순서 바꾸기​한컴 PDF에는 PDF 병합, 쪽 추출의 기능이 있지만 순서바꾸기 기능이 내장되어 있지 않다.​하지만 쪽 추출 기능을 응용하여 PDF의 페이지 순서를 바꿀 수 있다.​​한 PDF 화면에서(또는 한컴 pdf)​​[도구] -> [쪽 추출하기] 클릭​[범위] : 일부분 선택 후 원하는 순서대로 입력 후 [확인] ​순서가 바뀐 새 문서를 얻을 수 있다.[저장] 버튼을 꼭 눌러서 새 문서로 저장해야 순서가 유지된다!

Useful 2024.10.09

[유체역학] 나비에-스톡스 방정식의 무차원화

#유체역학#무차원화​​​목차1. 차원과 단위(Dimensions and Units)2. 방정식의 무차원화(Nondimensionalization of Equations)3. 예제1 : 운동방정식 - 중력가속도4. 무차원화의 장점5. 예제2 : 나비에-스톡스 방정식(Navier-stokes equation)6. 특수한 경우들​​1. 차원과 단위무차원화(Nondimensionalization)을 이해하기 위해서는 먼저 차원의 정의를 알아야 합니다.​정의 : Dimension is a measure of physical quantity while a unit is a way to assign a number to that dimension.예를 들어 "길이"는 차원이고, 미터(m)나 인치(inch)는 단위가 ..

반응형