#유체역학

유체가 파이프 내부를 지나갈 때 벽면과의 마찰 때문에, 또는 관이 꺾이거나 관의 형상이 바뀌는 지점(갑자기 좁아지는)에서 유체가 가진 에너지의 손실이 발생합니다.
이때의 손실을 Major loss와 minor loss 로 구분하며 이번 게시글에서는 Major loss를 다룹니다.
1. Darcy Friction Factor
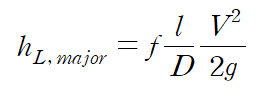
Major loss는 유체와 파이프의 마찰 때문에 발생하는 손실이며 다음과 같이 수두(head)형태 즉 미터 단위(또는 ft, in) 로 표현됩니다.

위 식을 "Darcy-Weisbach equation" 이라 합니다.
f는 darcy friction factor, l은 관의 길이, D는 관의 직경, V는 관을 지나는 유체의 속도(평균속도), g는 중력가속도입니다.
위 식은 파이프 유동으로 인한 손실이 운동에너지 (V^2/2g)에 비례한다는 것을 의미하는데 파이프의 길이가 길수록, 파이프의 직경이 좁을수록 마찰면적과 에너지 손실이 커진다는 물리적인 의미를 가지고 있습니다.
그 비례상수로서 f가 사용되었는데 f는 유동이 층류냐 난류나에 따라 다릅니다.
(1) 층류(Laminar flow)

이것은 포아실리 법칙으로부터 유도되며 Re는 레이놀즈 수입니다.
(2) 난류(Turbulent flow)

ε(epsilon)은 관의 거칠기(m 또는 mm 단위)입니다.
위 식은 실험으로부터 유도된 경험식(empirical formula)이며 f를 손으로 계산하는 것이 어렵기 때문에 난류 유동의 경우 무디 차트(moody chart)를 통해 달시 마찰 계수를 근사적으로 구합니다.
추가로 달시 마찰 계수는 단위가 없는 무차원수입니다.
2. Moody Chart
앞서 설명했듯이 난류 유동에서의 손실을 계산하기 위해 무디 차트가 고안되었습니다.
각 지점에서의 실험 데이터를 손으로 이은 차트이며
달시 마찰 계수를 확정짓기 위해 레이놀즈 수(Re), 관의 거칠기(ε), 관의 직경(D)을 알아야 합니다.

빨간색 선으로 영역이 구분되어 있는데 Laminar flow 영역에서는 달시 마찰 계수와 레이놀즈 수가 선형 관계임을, Fully rough turbulent flow 영역에서는 달시 마찰 계수가 비교적 일정함을 알 수 있습니다.
다음 순서로 무디 차트를 읽습니다.
1. 오른쪽에 위치한 세로축 상대거칠기(ε/D)로부터 파란색 곡선을 선택
2. 레이놀즈 수(Re)와 앞서 선택한 상대거칠기 곡선의 교점 찾기
3. 교점에서 왼쪽으로 선을 그어 달시 마찰계수(f)를 구하기
예를 들어 관의 직경이 10mm, 관의 거칠기가 0.008mm, 레이놀즈 수가 150,000 이라 하면 아래와 같이 달시 마찰 계수를 구할 수 있습니다.

'기계공학 > 4대 역학' 카테고리의 다른 글
| [유체역학] 파이프 유동 예제 : 에너지 법칙, 수두손실 (0) | 2023.04.19 |
|---|---|
| [열역학] 맥스웰 관계식, 열역학 관계식 예제 (0) | 2023.04.03 |
| [열역학] 맥스웰 관계식 (Maxwell Relations) (0) | 2023.03.10 |
| [유체역학] 버킹엄 파이 정리, 반복변수법 (0) | 2023.02.26 |
| [재료역학] 부정정보 예제 (3) | 2023.02.24 |