#열역학

Maxwell Relations
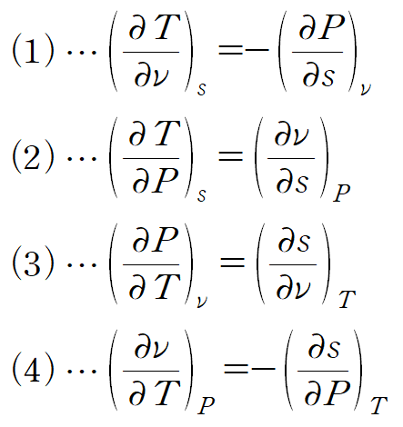
맥스웰 관계식은 압력(P), 비체적(v), 온도(T), 엔트로피(s) 사이의 관계를 나타내는 4가지 관계식이다.
내부에너지(u)와 엔탈피(h)의 exact differential 에서 (1), (2) 식을 얻고

Helmholtz function(A) 로부터 (3) 식을,


Gibbs function(G) 로부터 (4) 식을 얻는다.


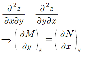
이것이 모두 exact differential 이므로 우변에 존재하는 두 개의 미분소의 계수에 대해 다음이 성립한다.



즉 (1),(2),(3),(4) 각각에 대해 이 성질을 적용할 수 있다.

위 네 가지 식이 바로 맥스웰 관계식이다.
Applications
맥스웰 관계식은 편미분방정식에서 우리가 원하는 변수들로 변환을 가능하게 해준다는 의미가 있다.
또 어떤 열역학 변수에 대해 다른 두 개의 independent variable로 거동을 확인할 수가 있다.
예를 들어 엔탈피가 온도와 압력의 함수라고 가정하자.

h의 exact differential dh는 다음과 같다. (미적분 상식)

이제 이미 알고있는 관계식들을 사용해서 우변을 정리하면 T와 P에 의해 h가 어떻게 거동하는지 볼 수 있다.
dT의 계수는 정압비열의 정의이고

dP의 계수는 Tds = dh - vdP 로부터 정리할 수 있다.

이는 엔탈피의 정의와 내부에너지의 정의로부터 유도되며 간단히 정리하면 다음과 같다.


다시 돌아와서 아래 식을 dP로 나눈다고 생각해보자(T가 일정한 경우로 가정)


이것을 정리하면 다음과 같다.

근데 엔트로피의 거동을 살피는 것보다 다른 변수의 거동을 살피는 것이 더 쉬우니 맥스웰 관계식 (4)를 사용해 정리하자

이로써 우변이 모두 종속변수 h를 포함하지 않게 바뀌었다.

'기계공학 > 4대 역학' 카테고리의 다른 글
| [열역학] 맥스웰 관계식, 열역학 관계식 예제 (0) | 2023.04.03 |
|---|---|
| [유체역학] 달시 마찰 계수, 무디 차트 보는 법 (0) | 2023.03.31 |
| [유체역학] 버킹엄 파이 정리, 반복변수법 (0) | 2023.02.26 |
| [재료역학] 부정정보 예제 (3) | 2023.02.24 |
| [재료역학] 용기 내 압력에 의한 응력 (0) | 2023.02.24 |