#유체역학
Introduction
현실과 유사한 환경에서 실험을 수행하는 것은 시간과 물질적으로 어려움이 있고 무엇보다 비용적인 한계가 가장 크다. 공학은 "가장 경제적인 해결책"을 제시하는 학문이기 때문에 정확성을 최대한으로 유지하며 실험의 스케일을 축소하기 위해, 또한 구성요소들간의 상호작용 등을 최소화하는 간단한 모델이 등장했다.
공학에서 단위계는 힘-길이-시간 FLT system 과 질량-길이-시간 MLT system 두 가지가 있는데 이것은 모두 "차원"을 의미한다.
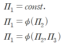
예를 들어 밀도의 차원은 MLT system에서 다음과 같다.


FLT system에서는 다음과 같다.

변수들은 각각의 고유한 차원을 가지고 있다. 각도(라디안), 레이놀즈 수 등 무차원 변수도 있다.
버킹엄 파이 정리는 차원을 가진 변수들의 관계를 무차원 변수로 표현하는 것, 즉 차수 축소 정리를 의미한다.

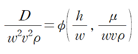
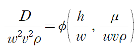
예를 들어, 아래 그림과 같이 얇은 판에 대해 유체에 의해 작용하는 drag force를 D라고 하자.
물리법칙과 직관 등에 의해 D에 영향을 주는 변수는 판의 너비 w과 높이 h, 유체의 속도 v, 유체의 밀도 ρ, 유체의 점성계수 μ 라는 것을 알아냈다.

우리가 원하는 것은 아래와 같은 explict function인데 변수들이 독립적이지 않기 때문에 다른 변수들을 고정하고 하나의 변수만을 조정하는 것이 매우 어렵다.

예를 들어 물의 밀도는 온도를 높이면 줄어들기 때문에 밀도에 w,h,V를 고정시킬 수 있지만 온도를 높여 밀도를 낮추면 물의 점성 또한 온도에 영향을 받기 때문에 점성을 고정할 수 없는 문제가 발생한다.
이럴 때 무차원 변수로 관계를 표현하면 훨씬 간단한 변수간의 관계를 규정할 수 있다.
Buckingham Pi Theorem
Definition :
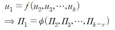
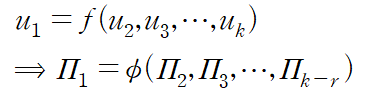
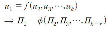
If an equation involving k variables is dimensionally homogeneous, it can be reduced to a relationship among independent dimensionless products, where r is the minimum number of reference dimensions required to describe the variables.
즉 아래와 같이 차원을 가지고 있는 변수들을 무차원 변수들로 표현할 수 있다는 것이 버킹엄 파이 정리이다.

Φ가 실제적으로 어떠한 함수인지를 규명하기 위해서는 실험을 거쳐야 하고, 여기에서는 그러한 파이항(무차원 변수)을 찾는 방법인 반복변수법을소개한다.
method of repeating variables
반복변수법을 소개하기 전에 먼저, 무차원 변수들의 쌍은 유일하지 않다는 것을 기억해두자.
변수들을 어떻게 설정해나가는지는 전적으로 푸는 사람에게 달려있다.
일련의 과정을 통해 무차원항을 결정할 수 있다.
1. 문제에 포함된 모든 변수들을 나열하고 변수의 개수를 정리한다. (k 개)
2. 각 변수의 차원을 정리하고 몇 개의 기본차원이 등장하는지 정리한다. (r 개)
3. 필요한 무차원항의 개수를 결정한다. (k-r 개)
4. 기본차원을 모두 포함하도록 반복변수들을 선택한다. (r 개)
5. 비반복변수(반복변수가 아닌 변수)에 반복변수들을 곱하여 무차원항을 만든다. (k-r 개)
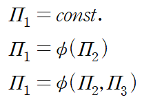
6. 최종형태를 무차원항들의 관계식으로 나타낸다.
무차원항의 개수에 따른 최종형태는 다음과 같다.(순서대로 1개, 2개, 3개)

파이항 예시

Example
도입부에서 살펴 본 drag force 문제를 살펴보자

1. 문제에서 등장하는 변수의 개수는 6개이고
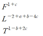
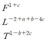
2. 각 변수들의 차원을 정리하면 다음과 같다.
여기서는 FLT system을 사용했지만 MLT system을 사용해도 되며

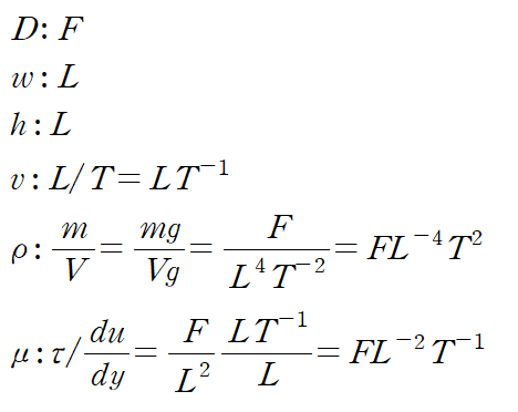
F < = > M 변환은 아래를 참고하여 쉽게 수행할 수 있다.
위에서는 분자, 분모에 임의의 가속도(g)를 곱해 차원을 정리하였다.

등장하는 기본차원의 수는 3(F,L,T)이며 기본차원은 FLT system과 MLT system을 의미.
3. 필요한 무차원항의 개수는 (k-r) 6-3 = 3
즉 세 개의 무차원항을 구해야 한다.
4. 기본차원을 모두 포함하도록 반복변수들을 선택한다. (3 개)
기본차원을 모두 포함하도록 반복변수를 임의로 선택하면 되는데
너비 w, 속도 v, 밀도 ρ를 반복변수로 선택하고 문제를 풀어보자
5. 비반복변수(반복변수가 아닌 변수)에 반복변수들을 곱하여 무차원항을 만든다. (k-r 개)
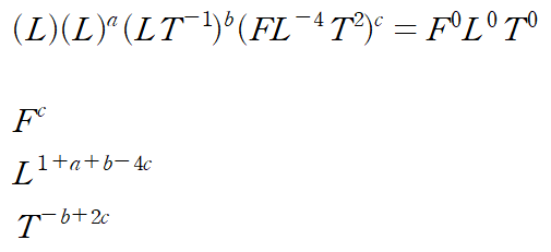
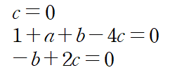
비반복변수는 여기서 반복변수가 아닌 D, h, μ 이다.
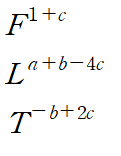
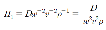
먼저 D로 무차원항을 만들어보자
무차원항은 대문자 파이를 사용해 다음과 같이 나타낸다.

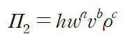
반복변수들의 차수가 미지수가 되며 이 미지수를 구하는 것이 반복변수법의 핵심이다.
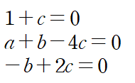
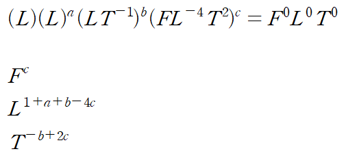
이 무차원항의 차원이 모두 0이어야 하므로 차원을 정리하면 다음과 같다.


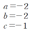
연립방정식을 풀면 미지수 a,b,c를 결정할 수 있다.


즉 첫 번째 무차원항은 아래와 같다.

이를 나머지 비반복변수에 수행하여 무차원항을 모두 결정한다.
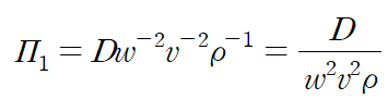
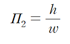
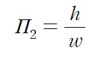
h에 대하여




두 번째 파이항

μ에 대하여




세 번째 파이항

6. 최종형태를 무차원항들의 관계식으로 나타낸다.


Additional Comments
1. 파이항을 구한 후 분자와 분모를 뒤집는 트릭을 쓸 수도 있다.
위 예제에서 두 번째 파이항은 h/w 인데 w/h로 사용할 수도 있다.
또는 세 번째 파이항을 뒤집을 수도 있다.

무차원양이기 때문에 아무 지장이 없으며 자주 등장하는 형태로 바꿀 수 있다면 뒤집어 표현하는 것이 좋다.
2. 버킹엄 파이정리는 어디까지나 변수를 줄이는 "차수축소"의 의미만 가질 뿐 실질적인 관계는 규명하지 못한다. 따라서 실험, 직관, 물리적 법칙 등 함수를 규명하기 위해서는 추가적인 과정이 필요하다.
3. 반복변수를 정할 때 중복되는 차원은 피하자. 예를 들어 반복변수 중 w,h가 포함되는 경우는 피하자는 것. 이 경우 연립방정식의 해가 무수히 많이 존재하기 때문이다.
4. 자주 쓰이는 무차원항 표

'기계공학 > 4대 역학' 카테고리의 다른 글
| [유체역학] 달시 마찰 계수, 무디 차트 보는 법 (0) | 2023.03.31 |
|---|---|
| [열역학] 맥스웰 관계식 (Maxwell Relations) (0) | 2023.03.10 |
| [재료역학] 부정정보 예제 (3) | 2023.02.24 |
| [재료역학] 용기 내 압력에 의한 응력 (0) | 2023.02.24 |
| [재료과학] 보의 처짐 예제 (1) | 2023.02.24 |