반응형
#열역학
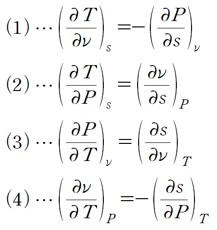
Maxwell Relations
맥스웰 관계식은 네 가지 열역학 변수들에 대한 네 개의 관계식입니다.

Example
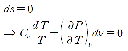
(예제 1) 다음 관계식을 이용하여 (∂T/∂v)s 를 유도하여라


먼저, 유도해야 하는 식에서 s가 일정하다고 하니 ds = 0입니다.

양변을 dv로 나누고 좌우변을 잘 정리하면 다음과 같이 원하는 관계식을 얻습니다.

문제의 요구사항과 어떤 변수가 상수인지를 먼저 확인하고 필요하다면 적절한 맥스웰 관계식을 사용해주어야 합니다.
반응형
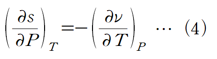
(예제 2) 깁스 관계식 du = Tds - Pdv 와 맥스웰 관계식을 이용해 P,v,T로만 표현된 (∂u/∂P)T 를 유도하여라. 또한 이상기체에서 이 편도함수가 어떤 거동을 보이는지 확인하여라

먼저, 온도 T를 상수라 보고 주어진 식의 양변을 dP로 나눕니다.


우변에 s가 포함되어있으니 이 s를 P,v,T 중 하나의 변수로 바꿔주기 위해 맥스웰 관계식을 사용합니다.
마침 4번에 (∂s/∂P)T 가 포함되어 있으므로 이를 적용합니다.


이것이 이상기체인 경우를 생각해봅시다.
이상기체 상태 방정식 Pv = RT 를 위 식에 대입하여 정리합니다.



따라서 아래와 같은 결론을 얻습니다.

이것은 이상기체에서 온도가 일정할 때 압력변화에 의한 내부에너지 변화가 없다는 것을 의미합니다.
다른 말로는 내부에너지 u가 오직 온도T만의 함수라는 것입니다.
반응형
'기계공학 > 4대 역학' 카테고리의 다른 글
| [재료과학] 재휘현상(Recalescence) (0) | 2023.06.30 |
|---|---|
| [유체역학] 파이프 유동 예제 : 에너지 법칙, 수두손실 (0) | 2023.04.19 |
| [유체역학] 달시 마찰 계수, 무디 차트 보는 법 (0) | 2023.03.31 |
| [열역학] 맥스웰 관계식 (Maxwell Relations) (0) | 2023.03.10 |
| [유체역학] 버킹엄 파이 정리, 반복변수법 (0) | 2023.02.26 |