#공업수학
오늘은 푸리에 급수 중 주어진 주기함수가 기함수 또는 우함수인 경우 분류되는 푸리에 사인 급수와 푸리에 코사인 급수에 대해서 알아봅시다. 선행되는 개념인 푸리에 급수는 아래 글 참조 바랍니다.
[공업수학] 1. 푸리에 급수 (Fourier Series) ①
푸리에 급수란? 푸리에 급수(Fourier Series) 는 삼각함수들의 합으로 주기함수를 나타내는 방법이다. 나중에 푸리에 적분에서는 주기함수라는 조건이 무의미해지는 지경까지 이른다.(주기를 무한
subprofessor.tistory.com
Definition
주기함수 f(x)에 대하여 다음 조건을 만족할 때 f(x)에 대한 푸리에 급수를 각각 푸리에 사인 급수(Fourier sine series), 푸리에 코사인 급수(Fourier cosine series) 라고 합니다.

또한 주기가 f(x)의 주기가 L일 경우 다음과 같이 푸리에 급수가 간단해집니다.
푸리에 사인 급수

푸리에 코사인 급수

위와 같이 식이 간단해지는 이유를 알아봅시다.
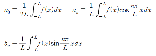
주기가 L인 주기함수 f(x)에 대한 푸리에 급수에 대한 정의식부터 시작합니다.

이때 주기가 L인 f(x)에 대해서 푸리에 계수는 다음과 같이 정의됩니다.

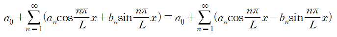
f(-x)는 다음과 같습니다.

주기함수 f(x)가 우함수일 경우 f(x)=f(-x)가 성립합니다. 즉 아래와 같습니다.

양변의 세 번째 항인 사인급수 항만 남기 때문에 해당 항은 0이 됩니다.


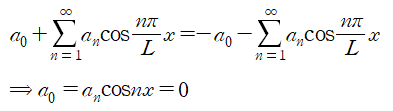
-f(-x)는 다음과 같습니다.

주기함수 f(x)가 기함수일 경우 f(x)=-f(-x)가 성립합니다.

위 등식에서 양변에 있는 사인 항들은 모두 소거되고 a0과 코사인 항들은 모두 0이 됩니다.


정리하자면 f(x)가 기함수일 경우 푸리에 사인 급수, 우함수일 경우 푸리에 코사인 급수로 분류되며 해당 푸리에 급수들은 보다 간단한 식으로 표현됩니다.
Any Qustions, Any Comments are WELCOME :)
오타나 오류 지적 감사히 받습니다
'MATHEMATICS > 공업수학' 카테고리의 다른 글
| [공업수학] 코시 적분 정리와 공식 (Caychy's Integral Theorem, Formula) (0) | 2021.12.19 |
|---|---|
| [공업수학] 코시-리만 방정식(Cauchy-Riemann Equations) 예제 (2) | 2021.12.07 |
| [공업수학] 11. 편미분 방정식 : 1차원 파동방정식 유도 (0) | 2021.03.27 |
| [공업수학] 10. 라플라스 변환의 미분과 적분 (0) | 2021.03.01 |
| [공업수학] 9. 적분방정식(Integral Equation) (0) | 2021.03.01 |