복소평면 z = x+yi 에서의 선적분과 관련된 코시 적분에 대해 알아봅시다.
1. Cauchy's Integral Theorem

코시적분정리는 f(z)가 D에서 해석적이라면 Simple closed path C에 대한 선적분이 항상 0이 된다는 뜻입니다. 여기서 simple closed path 라는 것은 경로가 교차하거나 맞닿는 지점이 없는 것을 의미하고 simply connected domain 이라는 것은 구멍이 없는 영역이라고 생각하면 됩니다. 구멍이 없을 경우 하나의 선으로 연결된 영역이 됩니다.


코시적분정리에 따라 Simply connected domain 에서 Simple closed path C에 대한 아래 선적분들은 모두 0입니다.

추가적으로 domain에 구멍이 있는 경우, 즉 doubly connected의 경우 다음과 같이 해석할 수 있습니다.


증명은 생략하겠습니다.
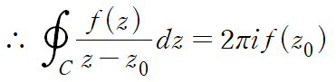
2. Cauchy's Integral Formula
코시적분공식은 다음과 같습니다.

f(z)가 해석적이지만 분모가 z-z0 꼴로 z=z0에서 해석적이지 않은 선적분을 계산하는 도구라고 보면 됩니다.
f(z)가 simply connected domain D에서 해석적이라 가정할 때 D의 임의의 점 z0 와 z0 를 둘러싸는 임의의 simple colsed path C 에 대해 다음 식이 성립합니다.


만약 z0가 C 내부가 아니라 외부에 존재한다면, 폐곡선의 선적분은 0이 됩니다.
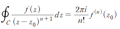
이로부터 파생되는 중요한 공식 하나가 더 있습니다. 고계도함수에 대한 코시적분공식입니다.


따라서 아래와 같은 형태의 선적분을 쉽게 계산할 수 있습니다.

마찬가지로 증명은 생략하겠습니다.
3. 예제
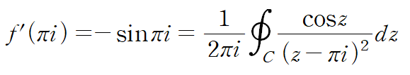
(예제 1) 선적분을 계산하여라


πi 가 폐곡선 C가 둘러싸는 영역 내부에 존재하므로 f(z) = cos z 로 잡고 코시적분공식을 사용합니다.
이때 분모가 제곱항이므로

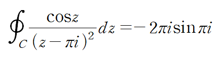
따라서 주어진 선적분을 계산하면 다음과 같습니다.

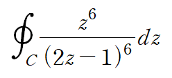
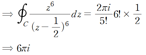
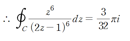
(예제 2) 선적분을 계산하여라. 이때 C는 단위원을 반시계방향으로 도는 곡선이다.

먼저 코시적분공식을 사용할 수 있도록 선적분의 형태를 조금 바꿔줍니다.


f(z)는 위와 같습니다.
코시적분공식을 사용하면


따라서 주어진 선적분을 계산하면 다음과 같습니다.

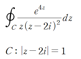
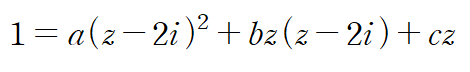
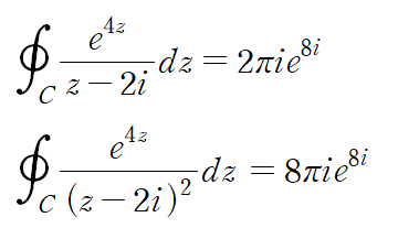
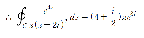
(예제 3) 선적분을 계산하여라

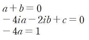
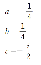
코시적분공식을 적용하기 위해 부분분수 꼴로 분해합니다.




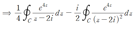
이상의 결과로부터 선적분은 아래와 같이 분해됩니다.



따라서 주어진 선적분을 계산하면 다음과 같습니다.

Any Qustions, Any Comments are WELCOME :)
오타나 오류 지적 감사히 받습니다
'MATHEMATICS > 공업수학' 카테고리의 다른 글
| [공업수학] 1계 상미분방정식 총정리 (2) : 동차방정식(제차방정식), u = ax+by+c 꼴 치환 (0) | 2022.03.21 |
|---|---|
| [공업수학] 1계 상미분방정식 총정리 (1) : 변수분리형, 완전미분방정식, 선형 상미분 방정식, 베르누이 방정식 (1) | 2022.03.19 |
| [공업수학] 코시-리만 방정식(Cauchy-Riemann Equations) 예제 (2) | 2021.12.07 |
| [공업수학] 12. 푸리에 사인 급수, 푸리에 코사인 급수 (0) | 2021.04.16 |
| [공업수학] 11. 편미분 방정식 : 1차원 파동방정식 유도 (0) | 2021.03.27 |