반응형
미분의 역연산이 되는 적분으로 이루어진 적분방정식을 알아봅시다. 더불어 라플라스 변환을 이용해 적분방정식의 해를 구해봅시다
(i) Definition
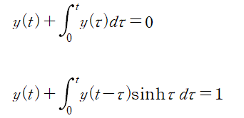
적분방정식의 형태

위 두 방정식처럼 해가 되는 함수인 y(t)의 적분형태가 포함된 방정식을 적분방정식이라고 합니다. 첫 번째 방정식의 경우 양변을 미분해서 해를 구하는 일반적인 미분방정식의 해를 구하듯 y(t)를 구할 수 있습니다. 그러나 두 번째 방정식의 경우 그게 불가능합니다. t로 미분을 해야 하는데 피적분함수 내에 t가 포함되어 있기 때문이죠. 이정도는 고등학교 미적분에서 다 배우는 상식.수준입니다. 아무튼 적분방정식의 형태는 위와 같습니다.
(ii) Application
합성곱에 라플라스 변환을 취하면 아래와 같은 놀라운 결과를 얻을 수 있습니다.

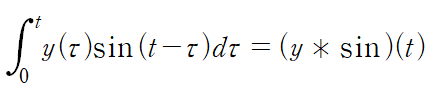
즉,

이 성립합니다. 각 대문자는 f(t),g(t),h(t)에 라플라스 변환을 취한 것입니다.
증명은 생략하겠습니다.
예제 : 적분방정식의 해 구하기

피적분함수의 형태가 합성곱 형태로 주어졌습니다.

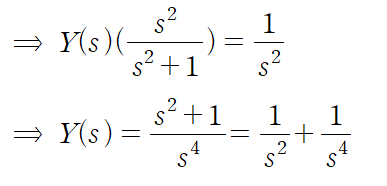
미분방정식을 풀기 위해 양변에 라플라스 변환을 취하겠습니다. Y(s)는 y(t)의 라플라스 변환입니다.

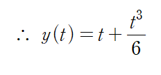
Y(s)에 대해 정리하고 역변환을 취해줍시다


반응형
'MATHEMATICS > 공업수학' 카테고리의 다른 글
| [공업수학] 11. 편미분 방정식 : 1차원 파동방정식 유도 (0) | 2021.03.27 |
|---|---|
| [공업수학] 10. 라플라스 변환의 미분과 적분 (0) | 2021.03.01 |
| [공업수학] 8. 합성곱(convolution) (2) | 2021.03.01 |
| [공업수학] 7. 디랙 델타, Short Impulse (0) | 2021.02.18 |
| [공업수학] 6. 편미분 방정식 : 라플라스 변환 해법 (1) | 2021.02.06 |