가장 기본적인 편미분 방정식인 1차원 파동방정식을 공부해봅시다. 1차원 파동은 줄, 케이블과 같은 "선"의 움직임을 의미합니다. 이 글은 파동방정식의 유도부터 해를 구하는 과정까지 모두 다룹니다.
(i) 기본 가정
1차원 파동방정식을 수립하기 이전에 몇 가지 가정을 세우고 갑시다. 굵은 줄기만 다루기 위해 곁가지들을 치는 절차라고 생각하시면 됩니다.
1. 줄은 완전한 탄성이며, 단위길이당 줄의 질량이 일정(mass per unit length is constant)
2. 중력의 작용 무시
3. 줄의 각 부분은 위아래로만 움직임
첫 번째 가정은 줄이 균일함을, 두 번째 가정은 말 그대로 중력의 작용을 무시한다는 내용을 담고 있습니다. 세 번째 가정은 줄의 각 부분이 위 아래만 움직인다는 것을 의미합니다. 즉 줄다리기를 하는 것처럼 줄이 당기는 방향으로 움직이지 않는다는 뜻입니다.(축방향 운동 X)
(ii) 파동방정식 유도
앞서 세운 세 가지 가정 위에 파동방정식을 유도해봅시다.
우리가 구하고자 하는 건 줄의 수직방향 움직임입니다. 그것을 u(x,t)라고 합시다.

위 그림은 특정시간 t에 대한 줄의 형상(위상)을 나타낸 것입니다. 미소구간 Δx에 작용하는 장력을 살펴봅시다. 미소구간에 대한 분석을 대상 전체로 확장시키는 방식은 방정식 유도에서 자주 사용되는 스킬입니다. 구분구적법과 같은 방식이라고 생각하면 됩니다. 익숙하지요?
먼저 앞서 정한 세 가지 가정 중 세 번째 가정을 사용합시다. 줄이 양 옆으로 움직이지 않으니, 점 P에서의 장력 T1의 x성분과 점 Q에서의 장력 T2의 x성분이 같습니다.

여기서 T는 줄에 작용하는 장력의 x성분입니다.
다음으로는 줄을 위아래로 움직이게 하는 힘에 대해 뉴턴의 힘-가속도 법칙을 적용해봅시다.

PQ구간을 보면, 외력인 두 장력의 합이(부호는 u방향이 +) 질량 곱하기 가속도임을 알 수 있습니다. 이때 ρ는 줄의 단위길이당 질량입니다. PQ구간의 길이가 Δx 이므로 질량이 ρΔx이고, 가속도는 u를 t에 대해 두 번 (편)미분한 것이 됩니다.
위 식을 상수 T를 이용해 정리하면 아래와 같습니다.

좌변을 정리합니다.

이때 tanα tanβ는 각각 P와 Q에서 접선의 기울기입니다. 따라서 아래와 같이 표현됩니다.

이상의 결과를 정리하면 아래와 같습니다.

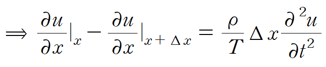
Δx를 양변에 나누어주면 아래와 같습니다.

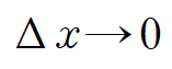
Δx가 한없이 작아질 때, 좌변은 x에대한 함수 u의 2계 편도함수가 됩니다.

,

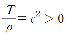
좌변에 t에 대한 u의 2계 편도함수를 정리하면 아래와 같은 1차원 파동방정식을 얻습니다.


이때 c^2은 곱해진 상수계수가 양수임을 의미합니다. 단순히 양수라는 의미만을 가지지는 않고, 나중에 해의 형태가 간소화되기 위해서는 c보다 c^2이 더 편리하기 때문입니다.
Any Qustions, Any Comments are WELCOME :)
오타나 오류 지적 감사히 받습니다
'MATHEMATICS > 공업수학' 카테고리의 다른 글
| [공업수학] 코시-리만 방정식(Cauchy-Riemann Equations) 예제 (2) | 2021.12.07 |
|---|---|
| [공업수학] 12. 푸리에 사인 급수, 푸리에 코사인 급수 (0) | 2021.04.16 |
| [공업수학] 10. 라플라스 변환의 미분과 적분 (0) | 2021.03.01 |
| [공업수학] 9. 적분방정식(Integral Equation) (0) | 2021.03.01 |
| [공업수학] 8. 합성곱(convolution) (2) | 2021.03.01 |