Dirac delta function. 6.4는 디랙 델타 함수에 대한 내용입니다. 먼저 디랙 델타 함수의 정의를 봅시다
(i) Definition

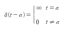
t=a라는 임의의 점에서 함숫값이 매우 큰 함수를 디랙 델타 함수라고 합니다. 짧은 시간 안에 강한 임펄스가 가해진다는 뜻에서 Short Impluse 라고도 합니다. unit step function과 유사하게 unit impulse function 라는 이름도 가지고 있습니다.
디랙 델타 함수는 여러 근사 표현을 가지고 있는데, 공업수학에서는 그중 가장 간단한 표현을 사용합니다

위와 같이 fk(t-a)를 설정한 후 극한을 취해 디랙 델타 함수를 표현할 수 있습니다.


k의 값에 관계 없이 fk(t-a)와 t축이 이루는 면적은 항상 1입니다. 즉, 디랙 델타를 적분하면 1이라는 값을 얻습니다.

(ii) Application
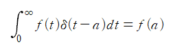
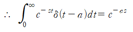
첫 번째 활용은 라플라스 변환입니다.

디랙 델타를 라플라스 변환시켜봅시다.

우변은 아래 식을 사용해 나타내었습니다.


적분구간은 [a,a+k]로 한정됩니다.
익숙한 지수함수 극한 꼴이 나왔네요. 고등학교 미적분 수준의 간단한 극한 계산입니다.


e^-as 어디서 많이 보지 않았나요? 네 t-shifting 과 유사한 형태입니다.
https://blog.naver.com/subprofessor/222234046188
[공업수학] 6.3 단위계단함수, t-shifting
#공업수학#라플라스변환 구간에 따라 나뉜 함수. 예를 들면 x>0에서 x^2 이고 x<0에서 3x인 함수...
blog.naver.com

[공업수학] 6.3 단위계단함수, t-shifting
#공업수학#라플라스변환 구간에 따라 나뉜 함수. 예를 들면 x>0에서 x^2 이고 x<0에서 3x인 함수...
blog.naver.com
혼동하지 않도록 조심합시다. 혼동을 피하기 위해 다음에 나오는 "Sifting"과 같은 이름을 사용합니다.
두 번째 활용은 함수와 디랙 델타의 곱입니다.

위 식을 Sifting Property 라고 합니다. Sifting이라는 단어는 없는 단어이지만, Shifting(t-shifting / s-shifting)과 구별하기 위해 sifting property라는 이름이 붙었습니다.
증명하는 과정은 다음과 같습니다.
이 Sifting Property를 이용하면 디랙 델타의 라플라스 변환을 보다 쉽게 구할 수 있습니다.



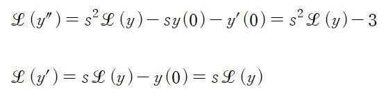
세 번째 활용은 미분방정식에서의 활용입니다.
다음과 같이 input이 short impulse 인 상미분방정식을 풀어봅시다.

양변에 라플라스 변환을 취하고 정리하면 다음과 같습니다.



이제 양변에 역변환을 취해줍시다.

따라서 다음과 같은 y(t)를 얻습니다.

라플라스 변환표와 s-shifting / t-shifting 에 관한 내용은 아래 링크 참조 바랍니다.
https://blog.naver.com/subprofessor/222165745415

[공업수학] 6.1 라플라스 변환, 선형성, 일차변환 (s-shifting)
https://blog.naver.com/subprofessor/222234046188

[공업수학] 6.3 단위계단함수, t-shifting
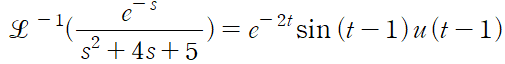
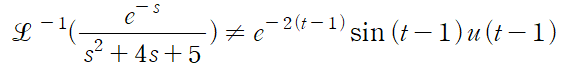
마지막 역변환 때 조심해야 하는 게,

이 부분입니다. s-shifting과 t-shifting이 섞여 있는 형태인데, s-shifting에 의해 곱해지는 e^-2t에는 t-shifting이 적용되지 않는다는 점 조심해 주셔야 합니다.

오늘 배운 디랙 델타(Short Impulse)는 역학, 전자기학 가리지 않고 사용되는 중요한 개념입니다. 제 글이 디랙 델타와 라플라스 변환을 이해하는 데 도움이 되었기를 바랍니다.
'MATHEMATICS > 공업수학' 카테고리의 다른 글
| [공업수학] 9. 적분방정식(Integral Equation) (0) | 2021.03.01 |
|---|---|
| [공업수학] 8. 합성곱(convolution) (2) | 2021.03.01 |
| [공업수학] 6. 편미분 방정식 : 라플라스 변환 해법 (1) | 2021.02.06 |
| [공업수학] 5. 완전미분방정식 예제 (2) | 2021.01.17 |
| [공업수학] 4. 오일러 공식(Euler's Formula) (0) | 2020.12.05 |