#공업수학
Convolution으로 번역되는 합성곱에 대해서 알아봅시다.
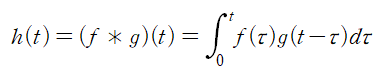
(i) Definition
합성곱의 정의
두 함수 f와 g에 대해 합성곱은

자를 사용해 표현하고, 아래와 같이 적분식으로 정의됩니다.

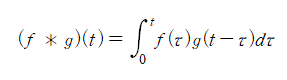
직관적으로 찾아내신 분도 계시겠지만, 합성곱은 교환법칙이 성립합니다.

<증명>

위 합성곱의 정의식에서

라고 u를 설정합니다. u로 설정함과 동시에 적분구간과 문자에 변화가 생깁니다.


u와 t를 이용해 다시 정리하면

합성곱 정의식의 τ(tau)가 u로 바뀐 것 빼고는 달라진 게 없죠? 즉 u를 다시 τ를 사용해서 표현해도 무방합니다.

이상의 결과를 정리하면 교환법칙이 성립함을 알 수 있습니다.

(ii) Application
합성곱에 라플라스 변환을 취하면 아래와 같은 놀라운 결과를 얻을 수 있습니다.

즉,

이 성립합니다. 각 대문자는 f(t),g(t),h(t)에 라플라스 변환을 취한 것입니다.
증명은 생략하겠습니다.
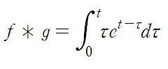
예제 1 : 합성곱 구하기


합성곱의 정의에 따라 계산하면 다음과 같습니다.



추가로 합성곱을 라플라스 변환시켜봅시다




앞서 소개한 응용이 사실임을 확인할 수 있습니다.
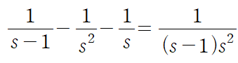
예제 2 : 합성곱 개념 + 라플라스 역변환

위 함수의 역변환을 구해봅시다.

F와 G를 위와 같이 설정해줍시다. F와 G에 대응되는 f(t)와 g(t)는 다음과 같습니다.

라플라스 변환이 된 두 함수를 곱한 것은 대응되는 f와 g의 합성곱을 라플라스 변환시킨 것과 같습니다.

따라서 우리는 합성곱을 직접 구해야 합니다.



1-cos t가 f와 g의 합성곱이 되고, 그것에 라플라스 변환을 취한 것이 바로 1 / s(s^2+w^2) 가 됩니다.

'MATHEMATICS > 공업수학' 카테고리의 다른 글
| [공업수학] 10. 라플라스 변환의 미분과 적분 (0) | 2021.03.01 |
|---|---|
| [공업수학] 9. 적분방정식(Integral Equation) (0) | 2021.03.01 |
| [공업수학] 7. 디랙 델타, Short Impulse (0) | 2021.02.18 |
| [공업수학] 6. 편미분 방정식 : 라플라스 변환 해법 (1) | 2021.02.06 |
| [공업수학] 5. 완전미분방정식 예제 (2) | 2021.01.17 |