#이상적분
특이적분이라고도 부르는 improper integral. 직역하면 "적절하지 않은 적분"? 입니다. 어떤 게 적절하냐 하면 바로 적분구간. 이 적절하지 않은 정적분들을 통틀어 improper integral이라 합니다. 이를테면 1/x를 -1부터 1까지 적분한다던지?

적분구간이 "함숫값이 정의되지 않는 점"을 포함하거나 "끝값이 불연속"일 경우 이상적분으로 분류됩니다
(i) DEFINITION : Improper Integral
f(x)=1/x의 경우 x=0에서 함숫값이 정의되지 않습니다. 이런 함수까지 정적분을 할 수 있도록 하는 새로운 정의가 바로 "Improper Integral"이다. 함숫값이 정의되지 않는 점이 구간에 포함될 경우 이상적분의 정의를 봅시다

아직 조금 생소하지요? 예를 한 번 봅시다

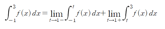
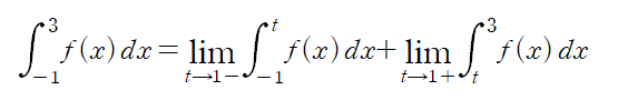
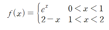
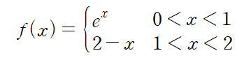
x=1에서 불연속인 함수 f(x)가 위와 같다고 할 때, 이 f(x)를 -1부터 3까지 정적분한 값 즉 f(x)의 그래프와 x축 사이의 넓이를 구하고 싶다면 이상적분의 정의를 이용해서 다음과 같이 구해주면 됩니다

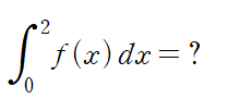
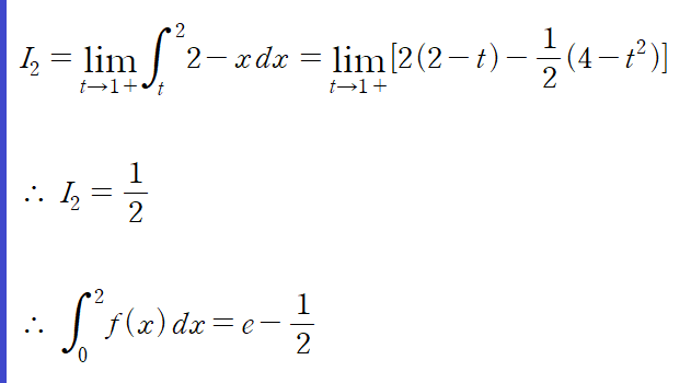
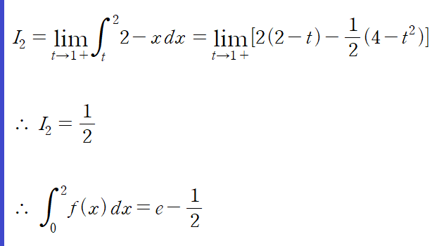
(예제 1) 다음 이상적분을 계산하여라


·
·
·
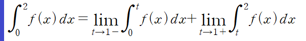
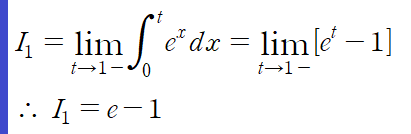
이상적분의 정의를 이용해서 먼저 적분구간을 나누면

우변의 첫번째항을 I1, 두번째항을 I2라 합시다


구간 중간에 끊어진 점(정의되지 않는 점)이 있다면 위와 같이 하면 됩니다. 그런데 만약 처음 본 예시에서 적분구간이 0부터 1까지라면, 즉 적분구간의 끝점이 끊어진 점일 경우를 봅시다.

정적분을 할 때 통상 가장 기본적인 원리 "미적분의 기본정리"를 이용해서 계산합니다.

그런데 이 기본정리는 "f(x)가 구간 [a , b]에서 연속"일 때만 성립합니다. 따라서 우리는 구간의 끝점이 끊어져있다면(불연속 / 정의 X) 기본정리를 이용할 수 없고 이상적분의 정의에 따라서 극한값으로 주어진 정적분을 계산해야 합니다.

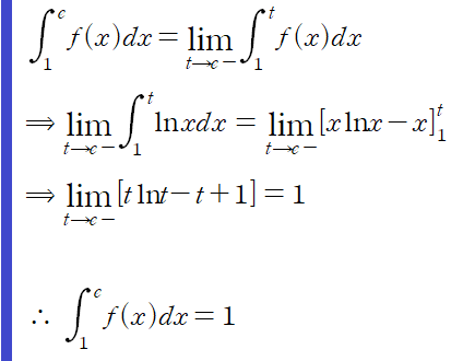
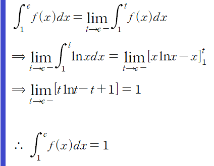
끝값이 끊어진 함수의 이상적분
(예제 2) 다음 이상적분을 계산하여라


·
·
·
이상적분의 정의를 이용해 계산하면 다음과 같습니다

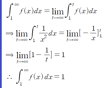
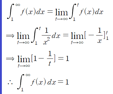
(예제 3) 다음 이상적분을 계산하여라


·
·
·
정의되지 않는 점 에는 무한대도 포함이 됩니다. 이런 경우는 적분구간을 t로 치환 후 무한대로 보내 계산합니다. 이상적분은 어떤 형태가 오던 치환해서 극한값을 구하는 방식으로 풀면 됩니다

Any Qustions, Any Comments WELCOME :)
'MATHEMATICS > 미분적분학' 카테고리의 다른 글
| [미분적분학] 비판정법 (Ratio Test) (0) | 2021.02.06 |
|---|---|
| [미분적분학] 야코비안(Jacobian) 예제 (0) | 2021.02.06 |
| [미분적분학] 삼각치환법 (Trigonometric Subtitution) (0) | 2021.01.17 |
| [미분적분학] 테일러 급수전개 (0) | 2020.12.06 |
| [미분적분학] 교대급수 판정법 (0) | 2020.12.06 |