많은 학생들이 급수의 수렴/발산에 대해 질문합니다. 그다지 어려운 문제들이 아닌데도 아예 감을 잡지 못하고 가져오는 모습을 보면 참.. 슬퍼요.. 남들이 떠먹여주는 공부만 주구장창 해와서 그런가 스스로 배워야 하는 공부를 어떻게 해야 하는지 감조차 잡지 못한 것 같아요. 이게 사교육의 폐해인가.. 싶기도 합니다. 지난 번에 교대급수 판정법에 대해 포스팅했는데, 정의를 익히고 그대로 문제에 적용하면 된다고 했는데요, 급수의 수렴/발산 문제는 다 그런 식으로 풀어주시면 됩니다 :)
Ratio Test는 급수의 수렴/발산을 판정하는 여러 판정법 중 간단한 편에 속합니다. 먼저 정의부터 확인합시다
(i) DEFINITION : Ratio Test

비판정법의 정의는 참 간단합니다. 그런데 그냥 수렴이 아니라 절대수렴이라고 나와있죠? 이 절대수렴의 개념 또한 간단합니다


이 수렴한다면,

도 수렴한다는 것이 절대수렴의 의미인데요, 비판정법에 의해 수렴이 결정되면 그냥 수렴보다는 조금 더 강력한 절대수렴이라고 기억해두시면 됩니다.
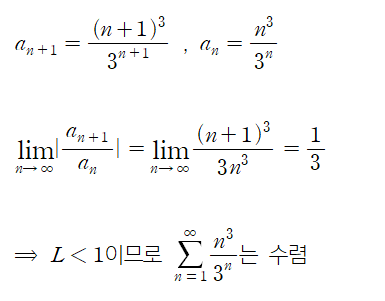
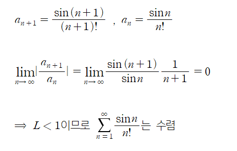
(ii) 예제 풀이






수렴반경만 조사하라고 했으니, 각 구간의 끝값에서 수렴하는지는 또다른 문제입니다. 예제 3번의 경우 x=±1/e 에서 L=1이므로 다른 판정법을 이용해서 수렴 /발산을 확인해주어야 합니다
급수의 수렴 / 발산을 조사하는 방법은 integral test, comparison test, limit comparison test, root test, p-series test 등등 매우 다양하며 매우 유용합니다. 주어진 급수를 보고 적용할 수 있는 판정법과 그 정의를 떠올릴 수 있는 능력을 갖추고 있다면 공부하는 데 큰 어려움이 없을 것 같습니다.
(+덤) 무작정 예제를 많이 풀어보기보다 정확한 정의를 한 번이라도 더 보면서 고찰해보는 것이 대학생 수준에 걸맞는 공부라고 생각합니다. 4년 동안 혹은 2년동안 괴로운 심정으로 공부하지 말고 이왕 하는 거 제대로 도전해보는 한국의 대학생이 되기를 진심으로 응원합니다 :)
'MATHEMATICS > 미분적분학' 카테고리의 다른 글
| [미분적분학] Cylindrical Shell Method (4) | 2021.04.17 |
|---|---|
| [미분적분학] 이상적분 (Improper Integral) (0) | 2021.02.06 |
| [미분적분학] 야코비안(Jacobian) 예제 (0) | 2021.02.06 |
| [미분적분학] 이상적분 (Improper Integral) (1) | 2021.01.17 |
| [미분적분학] 삼각치환법 (Trigonometric Subtitution) (0) | 2021.01.17 |