반응형
#미분적분학
Trigonometric Subtitution, 삼각치환법으로 번역되는 AWESOME한 적분 Tool을 알아봅시다. 삼각치환법은 기본적으로 치환적분의 개념을 기초로 하기 때문에 필요하신 분은 치환적분 공부를 더 하고 오시길 바랍니다.

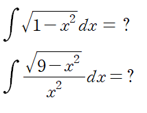
어떻게 풀어야 할까?
위와 같은 형태의 적분을 쉽게 계산할 수 있도록 해주는 Tool 이 바로 삼각치환법입니다. Table 먼저 볼게요

적분할 함수에 왼쪽 "치환할 함수" 쪽에 있는 함수가 보이면 그에 대응되는 오른쪽의 "치환 형태"에 따라서 치환해주면 됩니다
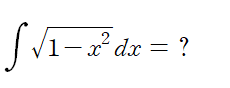
(예제 1) 다음 부정적분을 구하여라

·
·
·


처음 주어진 식은 x에 대한 식이었습니다. 따라서 θ을 다시 x로 변환해주면 다음과 같습니다

이런 느낌으로 치환해주는 것을 삼각치환법이라고 합니다.
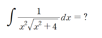
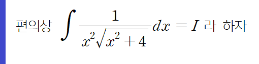
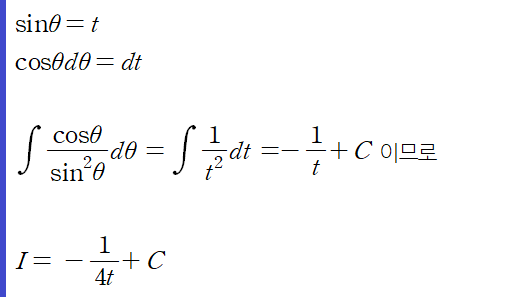
(예제 2) 다음 정적분을 구하여라

·
·
·

피적분함수가 x^2 +a^2 꼴을 포함하므로 tan θ 로 치환해줍시다


여기서 치환을 한번 더 하면 쉽게 풀리겠지요? 굳이 치환을 안하더라도 피적분함수를 cscθcotθ 라 본다면 부정적분이 -cscθ 임을 알 수 있습니다.(기본적인 적분 공식 사용)


csc θ 는 tan θ 로부터 아래 직각삼각형을 설정한 후 쉽게 구할 수 있습니다

Any Qustions, Any Comments WELCOME :)
반응형
'MATHEMATICS > 미분적분학' 카테고리의 다른 글
| [미분적분학] 야코비안(Jacobian) 예제 (0) | 2021.02.06 |
|---|---|
| [미분적분학] 이상적분 (Improper Integral) (1) | 2021.01.17 |
| [미분적분학] 테일러 급수전개 (0) | 2020.12.06 |
| [미분적분학] 교대급수 판정법 (0) | 2020.12.06 |
| [미분적분학] 벡터함수의 미분 (0) | 2020.10.09 |