

위 두 식의 좌변이 0인 경우를 정상상태(steady state; 시간에 따른 물리량 변화 X) 유동이라 소개하였습니다.
0이 아닌 경우를 Transient flow라 부르며 한국어로는 과도유동, 과도과정, 비정상상태 유동 이라 불리는 것 같습니다.
1. Transient Flow Process
본격적인 논의에 앞서 세 가지 가정이 필요합니다.
1. The control volume remains constant relative to the coordinate frame.
2. The state of the mass within the control volume may change with time, but at any instant of time the state is uniform throughout the entire control volume (or over several identifiable regions that make up the entire control volume).
3. The state of the mass crossing each of the areas of flow on the control surface is constant with time, although the mass-flow rates may vary with time.
한국어로는
1. 좌표계에서 검사체적은 상대적으로 정지해 있다.
2. 검사체적 속에 있는 질량의 상태는 시간에 따라 변할 수 있다.
3. 검사면의 각 부분을 지나는 질량유량이 시간에 따라 변할 수는 있으나 질량의 상태는 시간에 따라 변하지 않는다.
정리하면 검사체적이 고정되어 있어야 하며 검사체적 내부에서는 질량이 늘어나거나 줄어들 수 있으며 검사면에서의 질량의 상태는 시간에 따라 변하지 않는다고 가정합니다.
위 가정들에 대해 정확한 이해가 되지 않아도 문제를 풀 수 있습니다.
단순히 좌변이 0이 아닌 경우로 밀폐된 탱크를 충전하거나(Filling) 밀폐용기 내부를 비우는(Emptying) 과정이 Transient flow에 해당합니다.


위 식의 양변을 시간에 대해 적분합니다.

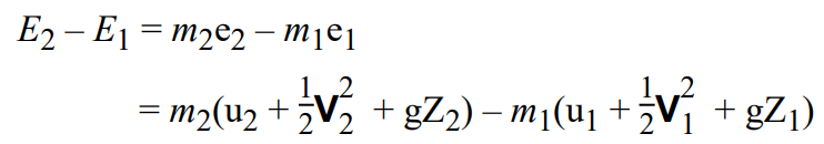
이때 에너지 방정식에서 좌변을 검사체적 내부의 storage term, 우변의 엔탈피 항들을 flow term이라 합니다.


즉 Storage term => "u" (internal energy)
Flow term => "h" (enthalpy)
2. Examples of Transient flow process
(예제 1)

비어있는 실린더에 섭씨 20도 100kPa 공기를 채워넣는 Filling 문제입니다.
no heat transfer 이므로 Q = 0 입니다.
공기가 다 채워졌을 때 final temperature가 유입온도인 20도보다 높아지는지, 같은지, 낮아지는지 물어보고 있습니다.
실린더 내부를 검사체적으로 잡습니다.
나가는 질량이 없으며 초기에 실린더 내부가 비어있었으니 연속방정식에서 m1 = me = 0입니다.

초기에 실린더 내부가 비어있었으니 에너지 방정식의 좌변이 E1 = 0 입니다.
열에너지 출입이 없고 검사체적이 해준 일이 없습니다. 또한 우변에서 me = 0 이고 h_tot = h 입니다.

total enthalpy가 그냥 enthalpy로 계산되는 이유는 유입되는 공기의 질량이나 높이차 등의 요소가 그리 크지 않기 때문입니다. 지난 시간에 예제로 풀어본 노즐 문제 같은 경우가 아니면 대부분 enthalpy를 사용합니다.
storage term 의 경우 내부에너지 u를 사용합니다.

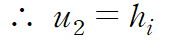
이를 위 에너지 방정식에 대입하여 정리하면 채워진 후의 내부에너지와 유입되는 공기의 엔탈피가 같아야 한다는 결론을 얻습니다.

이때 h = u + Pv 이므로 같은 온도라면 엔탈피가 내부에너지보다 더 큽니다.

따라서 공기가 채워진 실린더의 내부 온도는 20도보다 높아집니다.
(예제 2)


터빈을 지난 기체가 탱크로 유입될 때 터빈의 Work 을 구하는 문제입니다.
터빈을 지나는 과정은 정상상태 유동, 터빈을 지난 기체가 탱크로 들어가는 과정은 과도유동으로 나누어 생각해볼 수 있습니다.


먼저 터빈을 지나는 정상상태 유동을 보겠습니다. adiabatic 이므로 열에너지 Q가 없습니다.
따라서 터빈이 외부에 한 일 W_T 을 질량 유입량 mi와 엔탈피 차로 정리할 수 있습니다.

그 다음으로는 Tank가 채워지는 과도유동을 보겠습니다.

※ 터빈에서 빠져나온 질량유량을 m_e 그대로 가져와 탱크의 유입량으로 정리하였습니다.
초기에 비어있었고 어떠한 열교환이나 일이 일어나지 않았으므로 에너지 방정식은 좌우 한 텀씩만 남습니다.
이를 연속방정식을 적용해 정리하면 다음 식을 얻습니다.

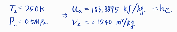
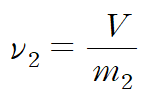
유입이 끝난 지점의 내부에너지 u2와 그 때의 비체적 v2는 다음과 같습니다.

비체적은 탱크 부피를 비체적(specific volume)으로 나누어 질량을 구하기 위함입니다.


유입시 온도와 압력이 주어졌으니 테이블에서 엔탈피를 구할 수 있습니다.

이상의 두 유동을 해석함으로서 터빈의 일을 구할 수 있습니다.

'기계공학 > 4대 역학' 카테고리의 다른 글
| [동역학] Step, Ramp, Sinusoidal, Pulse, Impulse Function (0) | 2022.10.21 |
|---|---|
| [유체역학] 가속도장 (Acceleration Field) 유도, 물질도함수 (0) | 2022.10.20 |
| [열역학] 검사체적에서 에너지 방정식 (2) : 정상상태 유동(steady state flow) (1) | 2022.09.30 |
| [열역학] 검사체적에서 에너지 방정식 (1) : 기본 식 설명 (0) | 2022.06.08 |
| [열역학] 이상기체의 엔트로피 변화 (Entropy change for an ideal gas) (0) | 2022.06.06 |