

i는 in의, e는 exit의 약자입니다.
1. steady state flow
steady state flow는 시간에 따른 검사체적 전체의 질량과 에너지의 변화가 없는 유동을 말합니다.
대부분의 열역학 문제를 풀 때 에너지 입출입이 일정한 경우를 상정합니다.
계 내부의 시간당 에너지가 계속 증가한다고 생각하는 경우는 밀폐된 용기에 유체를 채울 때 전과 후의 온도를 계산하는 문제 등 특수한 경우입니다.
검사체적에 들어오는 단위시간당 질량이 나가는 단위시간당 질량이 같아야 한다는 "연속방정식"과
검사체적에 들어오는 단위시간당 열에너지 Q와 검사체적이 외부로 해준 단위시간당 일 W과 유동으로 인해 생기는 유동에너지의 입출입이 일정하다는 것을 사용합니다.(Energy Balance Equation)

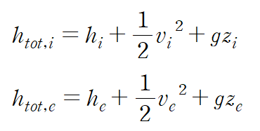
이때 h_tot (total enthalpy)는 다음과 같습니다.

유동에너지는 지난 시간에 엔탈피 h를 써서 표현한다고 했습니다.
https://subprofessor.tistory.com/entry/열역학-검사체적에서-에너지-방정식-1-기본-식-설명
[열역학] 검사체적에서 에너지 방정식 (1) : 기본 식 설명
#열역학 Energy Analysis for a Control Volume 1. Conservation of mass 에너지 방정식 이전에, 검사체적에서의 질량유동(유량; 질량유량) 식을 소개합니다. 좌변은 검사체적 내부의 질량의 시간 변화율이..
subprofessor.tistory.com

유동이 없을 때 내부에너지는 u(internal energy)를 사용하고 유동의 경우 h(enthalpy)를 사용합니다.
식에 시그마 기호가 붙은 것은 질량이 들어오고 나오는 통로가 여러 개일 수 있기 때문입니다.
2. Examples of Steady-State Process
(예제 1)
단열 스팀 노즐에 대하여 나갈 때 steam의 상을 구하여라.
An insulated steam nozzle is shown.
Find the exit state

연속방정식(continuity equation)과 에너지 방정식은 다음과 같습니다.

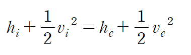
Energy balance equation에서 단열(adiabatic)이므로 Q = 0, 외부로 어떠한 일을 수행하고 있지 않으므로 W = 0 입니다.

이때 연속방정식에 의해 다음과 같이 식이 정리됩니다.

입구에서의 total enthalpy 가 출구에서의 total enthalpy와 같아야 한다는 식을 얻습니다.
입구와 출구에서의 total enthalpy는 다음과 같습니다.

이때 노즐의 위치차이가 없으므로 세 번째 위치에너지 항이 소거됩니다.
주어진 속도를 대입해 정리합니다.


여기에 steam table에서 입구에서의 엔탈피를 대입하면 출구에서의 엔탈피를 알 수 있습니다.

Pi = 600kPa, Ti = 200 C 이므로 superheated vapor 상태로 들어온다는 것을 알 수 있습니다.
table에서 입구에서의 엔탈피가 2850.12 kJ/kg 임을 구하고

이를 대입하면 출구에서의 엔탈피를 얻습니다.

출구에서 증기의 상태를 구하는 것이 문제이므로 이를 결정하기 위해 (P,v,T,h,u,s 중 두 가지를 알면 됨) 출구에서의 압력 150kPa를 사용합니다.

2671.37 kJ/kg 은 150kPa에서 hf와 hg의 사이에 위치하므로 steam 은 노즐의 출구에서 saturation 상태입니다.
보통은 증기비율(quality; x)까지 구합니다.

※ h_fg는 h_g - h_f입니다.

거의 sat.Vapor 상태라는 것을 알 수 있네요.
이번에는 multuple flow 문제를 봅시다.
(예제 2)

터빈으로 유입된 steam이 나올 때 두 갈래로 쪼개져서 하나는 feedwater heater로 가는 상황입니다.
먼저 문제에서 Adiabatic 조건이 있으니 출입하는 열에너지 Q = 0 입니다
feedwater heater로 가는 비율이 20%라고 합니다. 이 유동을 m2라 하고 아래와 같이 정리합니다.

연속방정식에서 m3를 구할 수 있고

에너지 방정식에서 터빈이 한 일 W를 구할 수 있습니다.

다음은 table에서 각각의 엔탈피를 구해서 대입만 하면 됩니다.
'기계공학 > 4대 역학' 카테고리의 다른 글
| [유체역학] 가속도장 (Acceleration Field) 유도, 물질도함수 (0) | 2022.10.20 |
|---|---|
| [열역학] 검사체적에서 에너지 방정식 (3) : 과도유동(transient flow process) (0) | 2022.10.01 |
| [열역학] 검사체적에서 에너지 방정식 (1) : 기본 식 설명 (0) | 2022.06.08 |
| [열역학] 이상기체의 엔트로피 변화 (Entropy change for an ideal gas) (0) | 2022.06.06 |
| [열역학] 열역학적 성질들 간의 관계식(The thermodynamic property relation ; gibbs relation) (0) | 2022.06.03 |