(예제)



※1차원 파동방정식의 모델링은 생략하겠습니다※
지난 번에 설명했듯, 경계조건(Boundary Condition)은 정의역(위 문제에서는 x)의 경계에서의 조건식을 의미하고, 초기조건은 시스템이 초기 상태일 때 즉 t=0일 때의 조건식을 의미한다고 했습니다. 위 문제는 "무한히 긴 줄"에 대한 1차원 파동방정식 모델링으로 이해할 수 있습니다. 미분방정식의 해 w=w(x,t)가 의미하는 것은 임의의 지점 x에서 임의의 시간 t가 흘렀을 때 변위입니다. 우리는 위아래로 흔들리는 긴 줄을 어렵지 않게 상상할 수 있습니다.
경계조건이 의미하는 것은 시간 t에 대한 경계에서 변위를 의미합니다. 초기조건이 의미하는 것은 시스템이 t=0일 때 어떤 상태인지, 즉 초기상태가 어떤 상태냐를 의미합니다. w(x,0)=0이라는 것은 모든 x의 범위, 즉 줄의 모든 위치의 변위가 0이라는 뜻입니다. 줄이 일자로 가만히 놓여있다는 것이죠. w_t(x,0)=0이라는 것은 시간에 대한 변위의 미분, 즉 속도가 모든 x의 범위(모든 위치에서)에서 0이라는 뜻입니다. 줄이 일자로 정지해있다는 것이죠.
이 문제에서 일자로 놓인 줄을 움직이게 하는 건 경계조건 w(0,t)=f(t)밖에 없습니다. 즉 줄 한쪽 끝이 2π 라는 시간 동안 sin t의 변위를 가지며 움직인다는 뜻입니다. 그에 따른 줄의 움직임(방정식의 해)을 우리는 사실 쉽게 예상 할 수 있습니다. 줄다리기를 하기 위해 운동장에 놓인 긴 밧줄이 있습니다. 밧줄의 한쪽 끝을 잡고 위로 들었다가 세게 내리치면 밧줄은 파도치듯 움직입니다. 처음 내가 발생시킨 파동이 반대편 끝까지 전달되는 그 모습을 우리는 쉽게 그려볼 수 있습니다.

주어진 조건들을 해석하면 이런 의미가 됩니다. 이제 본격적으로 문제를 풀어나가 봅시다.
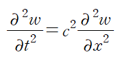
먼저, 양변에 라플라스 변환을 취하고 정리합니다.


라고 간단히 정의하고 초기조건을 적용하면 아래와 같이 식이 정리됩니다.

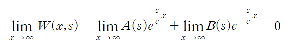
마지막 줄 과정은 사실 필요 없습니다. 편미분 기호가 익숙치 않은 분들을 위해서(그렇다기보다는 프라임 기호가 더 익숙하니까) 한번 더 정리했습니다. 아무튼 라플라스 변환을 거쳐 정리된 미분방정식의 해는 다음과 같이 빠르게 구할 수 있습니다.

저번 포스팅에서 설명했듯이, 상수는 A나 B가 아니라 A(s)나 B(s)로 표기되어야 합니다. x에 대해 편미분하는 과정에서 s가 상수취급되(었)기 때문입니다.
다음으로 경계조건을 적용해줍시다.


두 번째 항이 0으로 수렴하므로 A(s)=0이어야만 합니다.

다음 경계조건을 적용해봅시다.


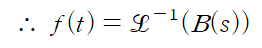
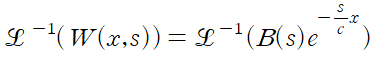
이제 마지막 단계입니다. 역변환을 취해줍시다.

t-shifting theorem을 적용해줍시다. 관련 개념은 아래 링크 참조 바랍니다.

B(s)에 대한 역변환은 f(t)이고,

임을 생각할 때,

이므로

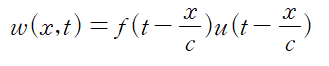
라는 최종적인 해를 얻습니다.

c=9일 때 w(x,t)의 모습
t=0일 때 를 기준으로 x가 xt평면에 붙어있는 것과 x=0인 지점에서 t의 변화에 따른 움직임이 sin t와 같다는 게 보이죠?

초기조건과 경계조건의 의미
이번 포스팅에서는 모델링 파트 생략했는데, 추후에 주요한 편미분 방정식들을 하나하나 다룰 예정입니다. 공학문제에서 주요하게 다뤄지는 파동방정식, 열방정식 등을 하나하나 심도있게 배워봅시다.
Any Qustions, Any Comments are WELCOME :)
오타나 오류 지적 감사히 받습니다
'MATHEMATICS > 공업수학' 카테고리의 다른 글
| [공업수학] 연립미분방정식 예제 : 제차 방정식 (Homogeneous Equation) (0) | 2022.12.17 |
|---|---|
| [공업수학] 스토크스 정리(Stokes' Theorem) 예제 (0) | 2022.12.13 |
| [공업수학] 1계 상미분방정식 총정리 (2) : 동차방정식(제차방정식), u = ax+by+c 꼴 치환 (0) | 2022.03.21 |
| [공업수학] 1계 상미분방정식 총정리 (1) : 변수분리형, 완전미분방정식, 선형 상미분 방정식, 베르누이 방정식 (1) | 2022.03.19 |
| [공업수학] 코시 적분 정리와 공식 (Caychy's Integral Theorem, Formula) (0) | 2021.12.19 |