그람-슈미트 과정은 임의의 벡터 집합으로부터 직교집합(Orthogonal set)을 구하는 과정입니다. 원래 가지고 있던 벡터 집합의 직교성 유무와 관계없이 한 벡터를 다른 벡터에 사영(projection)시킨 것을 이용해 직교집합을 구할 수 있습니다.

1. 그람-슈미트 과정 (Gram-Schmidt Process)
그람-슈미트 과정의 정의는 다음과 같습니다.

부분합 기호(시그마)를 이용해 나타내면 다음과 같습니다.

부분공간 W를 이루는 기저를 직교기저(Orthogonal basis)로 변환하는 것이 그람-슈미트 과정의 의의입니다. 이때 그람-슈미트 과정을 수행하기 전의 기저와 수행하고 난 이후의 기저가 이루는 생성집합(span)은 각각 부분공간 W와 같습니다.
2. 예제
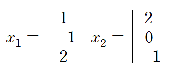
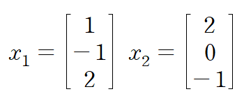
(예제 1) 부분공간 W가 W = Span{x1, x2}로 정의될 때 {x1, x2} 가 직교기저인지 판별하여라

집합이 직교집합인지 확인하는 것은 집합의 각 원소들에 대해 내적을 수행하는 것으로 간단히 알 수 있습니다.

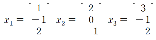
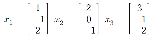
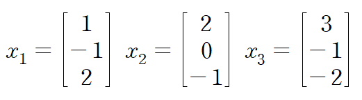
(예제 2) 부분공간 W가 W = Span{x1, x2, x3}로 정의될 때 {x1, x2, x3}가 직교기저인지 판별하여라

마찬가지로 각각의 벡터들의 내적이 0인지 확인합니다.

마지막 내적값이 0이 아니므로 {x1, x2, x3} 는 직교기저가 아닙니다.
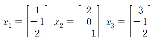
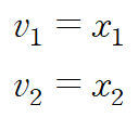
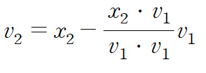
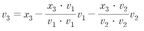
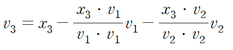
(예제 3) W = span {x1, x2, x3}의 직교기저를 구하여라

x set에서 직교하는 v set을 구하라는 대표적인 그람-슈미트 과정의 예제입니다.

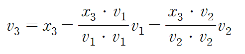
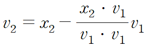
예제 2와 동일한 벡터 집합인데, x1과 x2가 이미 직교집합이므로 이것을 v1, v2라고 두고 바로 v3를 구합니다.




따라서 정규기저는 다음과 같습니다.

분수표현이 보기 안 좋으면 임의의 상수배를 곱해주어도 괜찮습니다.

(예제 4) 부분공간 W의 정규직교기저를 구하여라

"정규"(normal)가 붙은 정규직교기저는 영어로 Orthonormal basis 입니다. 크기가 1인 직교기저란 뜻입니다.
마찬가지로 그람-슈미트 과정을 통해 직교기저를 구하는 것까지는 동일합니다.



위 결과에 상수 2를 곱해 간단한 정수로 나타낸 v2를 얻습니다.




상수 9를 곱해 깔끔하게 만들어줍시다.

이상의 결과로부터 직교기저는 아래와 같습니다.

벡터의 정규화는 벡터의 크기를 1로 만드는 것을 말합니다. 각각의 벡터들을 자신의 크기로 나누어줍니다.

부분공간 W의 정규직교기저는 다음과 같습니다.


☕ 커피 한 잔보다 싼 선형대수학 모의고사 ☕
잘 공부하고 있는지 확인하실 수 있도록
기말고사를 대비할 수 있는 가벼운 모의고사를 준비했습니다.
✅ 커피 한 잔보다 싼 3,900원
✅ 총 12문제, 상세한 해설 포함 (20p가량)
✅ 문제와 해설 모두 한국어입니다.
✅ 출제단원
- 연립방정식
- LU분해
- 그람-슈미트 과정
- QR분해
- 고유값과 고유벡터
- 역행렬
- 특잇값 분해(SVD)
🚫 본 모의고사는 시험 대비 및 복습용으로 제작되었습니다.
🚫 자료의 무단 배포 및 판매 시 저작권법에 의한 처벌을 받을수 있습니다
🚫 전자책 특성 상 환불이 불가합니다.
✉️ 질문 및 기타 문의는 hyonklee@gmail.com
시험지 샘플입니다.


해설 샘플입니다.


'MATHEMATICS > 선형대수학' 카테고리의 다른 글
| [선형대수학] 최소제곱법 (Method of Least Squares) (0) | 2022.08.17 |
|---|---|
| [선형대수학] 케일리-해밀턴 정리 : 행렬의 거듭제곱, 역행렬 (Cayley–Hamilton theorem) (0) | 2022.08.15 |
| [선형대수학] 크래머 공식 (Cramer's Rule) (0) | 2021.11.18 |
| [선형대수학] 특성방정식, 고윳값과 고유벡터 구하기 (0) | 2021.11.12 |
| [선형대수학] 고윳값, 고유벡터, 고유공간 (Eigenvalue, Eigenvector, Eigenspace) (0) | 2021.11.10 |