1. 고윳값과 고유벡터의 정의

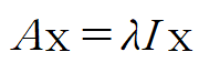
n x n 행렬 A에 대해 위 등식을 만족하는 λ(lambda)와 x를 각각 고윳값(Eigenvector), 고유벡터(Eigenvector)라 합니다

위와 같은 2 x 2 행렬을 생각해봅시다
벡터 x1이 (1,2)로 주어질 때 이것이 고유벡터임을 보이는 과정입니다

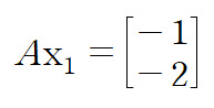
행렬 A와 열벡터 x1의 곱은 다음과 같습니다

위 계산결과는 벡터 x1의 상수배이므로 아래 등식이 성립합니다

따라서 x1은 행렬 A의 고유벡터이며 이 경우 고윳값은 -1입니다

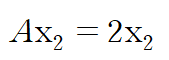
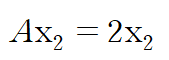
이번에는 같은 행렬 A에 대해 고윳값이 주어졌을 때 고유벡터를 구하는 예제를 보겠습니다

행렬 A의 다른 고윳값이 2라고 주어졌습니다
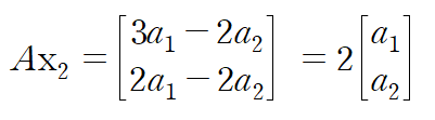
고유벡터 x2를 다음과 같이 설정합니다

그럼 고유벡터의 정의에 의해 다음 등식이 성립합니다

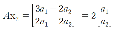
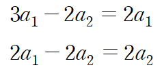
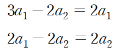
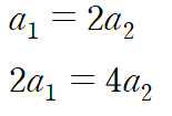
좌변을 직접 계산하고 대입하여 연립방정식을 풉니다


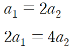
정리하면

a1 = 2a2라는 답을 얻습니다
해를 다음과 같이 표현하는 것은 선형방정식의 해를 구할 때, 그리고 영공간(Null space)을 구할 때 나왔었습니다

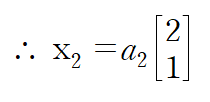
아무튼 a2가 상수이므로 적당한 값을 대입해주면 고유벡터를 구할 수 있습니다

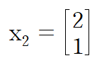
따라서 행렬 A의 고윳값 2에 대응하는 한 고유벡터는 (2,1) 입니다
위 예제에서 알 수 있듯이 한 고윳값에 대하여 고유벡터는 무수히 많습니다. 때문에 기본적으로 기저를 이용해 표현하는데 고유벡터를 구하라는 문제가 나오면 0을 제외한 간단한 상수를 적용해서 고유벡터를 구할 수 있습니다. 위 문제의 경우 a2=1을 대입했지만 -1을 대입해 다음과 같은 벡터를 답으로 내도 상관없습니다

2. 고유공간 (Eigenspace)
고윳값의 정의로부터

항등행렬을 우변에 곱해봅시다

우변을 좌변으로 넘겨 x로 정리하면 동차방정식(homogeneous equation, 제차방정식)을 얻습니다

n x n 행렬 A와 고윳값 λ에 대해 x의 해집합은 동차방정식의 해입니다. 영공간(Null space)과 비슷하죠? 영공간은 Ax=0의 해집합이었습니다
이것으로부터 고유공간에 대한 정의가 등장합니다
A-λI의 해공간, 즉 A-λI의 영공간을 λ에 대한 A의 고유공간이라 한다
the null space of the matrix A-λI is called eigenspace of A corresponding to λ
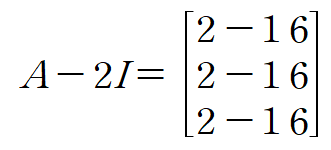
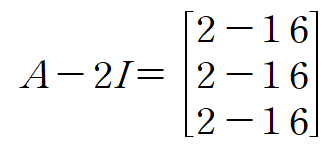
(예제 1) A의 한 고윳값이 2일때, 이 고윳값에 대한 고유공간의 기저를 구하여라

고윳값이 2이니, 고유공간을 구하기 위해 A-2I 행렬을 구합니다

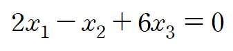
(A-2I)x=0의 해를 구하는 것이니 첨가행렬을 세워 해를 구합니다

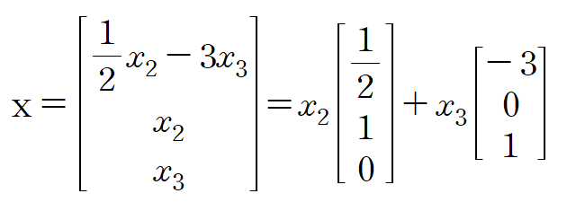
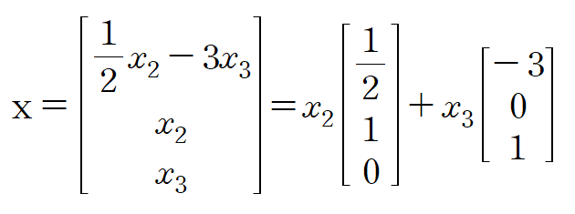
위로부터 다음 연립방정식을 얻고 자유변수(free variable) x2, x3 으로 x1을 표현합니다


따라서 고윳값 2에 대한 고유공간의 기저는 (1, 2, 0), (-3, 0, 1) 입니다(x2가 곱해진 기저에 간단한 상수 2를 곱해 정수로 기저를 표현하였습니다)

Any Qustions, Any Comments are WELCOME :)
오타나 오류 지적 감사히 받습니다
'MATHEMATICS > 선형대수학' 카테고리의 다른 글
| [선형대수학] 크래머 공식 (Cramer's Rule) (0) | 2021.11.18 |
|---|---|
| [선형대수학] 특성방정식, 고윳값과 고유벡터 구하기 (0) | 2021.11.12 |
| [선형대수학] 크래머 공식 (Cramer's Rule) (0) | 2021.11.04 |
| [선형대수학] 열공간과 영공간 (Column Space and Null Space) (7) | 2021.11.01 |
| [선형대수학] 부분공간, 기저 (Subspace, Basis) (0) | 2021.10.30 |