1. 크래머 공식 (Cramer's Rule)
크래머, 크레이머, 크라메르 등으로 불리는 이 공식은 많은 공대생들의 모근을 말려 죽이고 있습니다. 공식 자체를 이해하는 건 어렵지 않은데 수많은 행렬식 계산을 요구해 골머리를 앓게 하는 몹쓸 녀석으로 간주되곤 합니다
크래머 공식은 n x n 행렬 A의 i 번째 열을 n x 1 열벡터 b로 치환한 Ai(b)를 정의하는 것으로부터 시작합니다
For any n x n matrix A and any b in R^n, let Ai(b) be the matrix obtain from A by replacing column i by the vector b
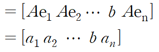
즉 A가 아래와 같이 n개의 열벡터로 이루어진 행렬일 때

Ai(b)는 다음과 같습니다

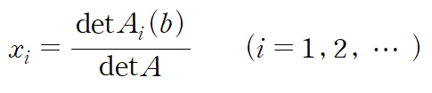
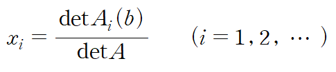
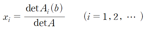
다음은 크래머 공식입니다
A가 n x n 가역행렬일 때(역행렬 존재), 모든 n x 1 열벡터 b에 대하여 Ax=b에 대한 유일해 x 는 다음 xi로 나타내지는 성분(entry)를 가진다

예를 들어 3 x 3 행렬에 대하여 Ax=b의 유일해는 다음과 같은 형태라는 뜻입니다

크래머 공식은 단위행렬(Identity matrix, In )의 i번째 열을 x로 치환한 것과 역행렬의 성질을 이용해 간단히 증명할 수 있습니다
Ax=b라는 방정식이 주어졌습니다

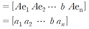
n x n 행렬 A와 i번째 열을 n x 1 열벡터 x로 치환한 단위행렬의 곱을 봅시다

이때 우변은 다음과 같습니다

행렬 A와 en 의 곱은 행렬 A의 n번째 열벡터가 되고 Ax 는 Ax=b라는 방정식 하에서 b가 됩니다

그런데 이것이 처음 소개한 Ai(b) 입니다

즉 아래와 같은 등식이 성립합니다

양변에 행렬식을 취하면

이때 행렬식의 성질에 의해 det(AB) = detA x detB 입니다

좌변에 위치한 단위행렬의 행렬식은 x의 i번째 엔트리와 같습니다

A가 가역행렬이라면 det A ≠ 0 이므로 양변을 det A로 나누어크래머 공식과 같은 형태로 위 등식을 정리할 수 있습니다

2. 예제 풀이
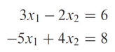
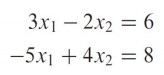
(예제) 다음 연립방정식의 해를 구하여라

단순한 선형방정식이니 계수로부터 첨가행렬을 세워 구할 수도 있으나 크래머 공식을 이용해봅시다
크래머 공식을 사용하기 위해 연립방정식으로부터 A와 열벡터 b를 설정하고

행렬 A가 가역행렬(Invertible matrix) 인지 판단하기 위해 행렬식을 계산합니다(det A = ad-bc)

det A가 0이 아니므로 A는 가역행렬입니다. 따라서 크래머 공식을 사용할 수 있습니다
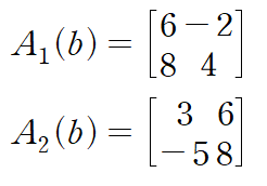
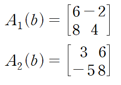
A의 i번째 열을 b로 치환한 모든 Ai(b)는 다음과 같습니다

행렬식까지 계산해줍니다

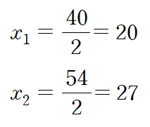
이상의 정보들을 조합해 크래머 공식에 대입하여 연립방정식의 해를 구합니다


크래머 공식은 모든 해를 구하지 않고도 원하는 해를 부분적으로 구할 수 있다는 점에서 의미가 있습니다
Any Qustions, Any Comments are WELCOME :)
오타나 오류 지적 감사히 받습니다
'MATHEMATICS > 선형대수학' 카테고리의 다른 글
| [선형대수학] 케일리-해밀턴 정리 : 행렬의 거듭제곱, 역행렬 (Cayley–Hamilton theorem) (0) | 2022.08.15 |
|---|---|
| [선형대수학] 그람-슈미트 과정 (Gram-Schmidt Process) 예제 (0) | 2021.12.21 |
| [선형대수학] 특성방정식, 고윳값과 고유벡터 구하기 (0) | 2021.11.12 |
| [선형대수학] 고윳값, 고유벡터, 고유공간 (Eigenvalue, Eigenvector, Eigenspace) (0) | 2021.11.10 |
| [선형대수학] 크래머 공식 (Cramer's Rule) (0) | 2021.11.04 |