크래머 공식은 Ax=b 형태의 방정식을 푸는 일종의 도구이며, 역행렬 개념을 포함합니다
1. 크래머 공식 (Cramer's Rule)
크래머, 크레이머, 크라메르 등으로 불리는 이 공식은 많은 공대생들의 모근을 말려 죽이고 있습니다. 공식 자체를 이해하는 건 어렵지 않은데 수많은 행렬식 계산을 요구해 골머리를 앓게 하는 몹쓸 녀석으로 간주되곤 합니다
크래머 공식은 n x n 행렬 A의 i 번째 열을 n x 1 열벡터 b로 치환한 Ai(b)를 정의하는 것으로부터 시작합니다
For any n x n matrix A and any b in Rn, let Ai(b) be the matrix obtain from A by replacing column i by the vector b
즉 A가 아래와 같이 n개의 열벡터로 이루어진 행렬일 때

Ai(b)는 다음과 같습니다

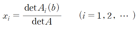
다음은 크래머 공식입니다
A가 n x n 가역행렬일 때(역행렬 존재), 모든 n x 1 열벡터 b에 대하여 Ax=b에 대한 유일해 x 는 다음 xi로 나타내지는 성분(entry)를 가진다

예를 들어 3 x 3 행렬에 대하여 Ax=b의 유일해는 다음과 같은 형태라는 뜻입니다

크래머 공식은 단위행렬(Identity matrix, In )의 i번째 열을 x로 치환한 것과 역행렬의 성질을 이용해 간단히 증명할 수 있습니다
Ax=b라는 방정식이 주어졌습니다

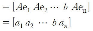
n x n 행렬 A와 i번째 열을 n x 1 열벡터 x로 치환한 단위행렬의 곱을 봅시다

이때 우변은 다음과 같습니다

행렬 A와 en 의 곱은 행렬 A의 n번째 열벡터가 되고 Ax 는 Ax=b라는 방정식 하에서 b가 됩니다

그런데 이것이 처음 소개한 Ai(b) 입니다

즉 아래와 같은 등식이 성립합니다

양변에 행렬식을 취하면

이때 det(AB) = detA x detB 입니다

좌변에 위치한 단위행렬의 행렬식은 x의 i번째 엔트리와 같습니다

A가 가역행렬이라면 det A ≠ 0 이므로 양변을 det A로 나누어크래머 공식과 같은 형태로 위 등식을 정리할 수 있습니다

2. 예제 풀이
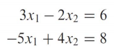
(예제) 다음 연립방정식의 해를 구하여라

크래머 공식을 사용하기 위해 연립방정식으로부터 A와 열벡터 b를 설정하고

행렬 A가 가역행렬(Invertible matrix) 인지 판단하기 위해 행렬식을 계산합니다(det A = ad-bc)

det A가 0이 아니므로 A는 가역행렬입니다. 따라서 크래머 공식을 사용할 수 있습니다
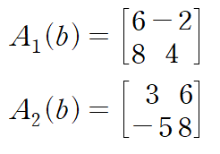
A의 i번째 열을 b로 치환한 모든 Ai(b)는 다음과 같습니다

행렬식까지 계산해줍니다

이상의 정보들을 조합해 크래머 공식에 대입하여 연립방정식의 해를 구합니다


Any Qustions, Any Comments are WELCOME :)
오타나 오류 지적 감사히 받습니다
'MATHEMATICS > 선형대수학' 카테고리의 다른 글
| [선형대수학] 특성방정식, 고윳값과 고유벡터 구하기 (0) | 2021.11.12 |
|---|---|
| [선형대수학] 고윳값, 고유벡터, 고유공간 (Eigenvalue, Eigenvector, Eigenspace) (0) | 2021.11.10 |
| [선형대수학] 열공간과 영공간 (Column Space and Null Space) (7) | 2021.11.01 |
| [선형대수학] 부분공간, 기저 (Subspace, Basis) (0) | 2021.10.30 |
| [선형대수학] 차원, 랭크 (Dimension, Rank) (0) | 2021.10.29 |