1. 부분공간의 정의 (Definition of Subspace)
어떠한 벡터 공간 V에 대해 다음 세 가지 조건을 만족하는 V의 부분집합(Subset)을 V의 부분공간(Subspace) 이라고 합니다

영어 원문)
A subspace of Rn is any set H in Rn that has three properties :
a. The zero vector is in H
b. For each u and v in H, the sum u+v is in H
c. For each u in H and each scalar c, the vector cu is in H
즉 영벡터를 포함하며 덧셈과 곱셈에 대하여 닫혀있는 부분집합을 부분공간이라고 정의합니다. 두 번째 조건과 세 번째 조건을 보면 vector들의 선형결합, span과 비슷한 형태임을 알 수 있습니다
Rn의 대표적인 부분공간으로는 영벡터(0), 원점을 지나는 직선, Rn 스스로가 있습니다
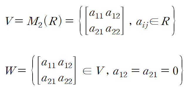
(예제 1) 다음과 같이 2 x 2 행렬로 정의된 V에 대하여 W가 V의 부분공간인지 판별하여라

먼저, 영벡터를 포함하는지 봅시다

다음은 W에 속하는 두 개의 행렬 W1, W2 를 세워볼게요

두 번째 조건을 적용해보면

W1+W2이 W에 속함을 알 수 있습니다
W1에 스칼라곱을 한 cW1 또한 W에 속합니다

따라서 W는 V의 부분공간입니다 (참)
또 중요한 게 벡터들의 span이 부분공간이 된다는 것인데 span의 정의를 생각해보면 쉽게 알 수 있습니다
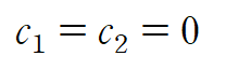
(예제 2) 다음과 같이 H가 정의될 때, H가 Rn 의 부분공간인지 판별하여라

벡터들의 span은 벡터들의 모든 선형결합의 집합입니다. 즉 다음과 같이 H를 나타낼 수 있습니다

c1, c2가 모두 0일 때 0이니, H는 영벡터를 포함합니다

또한 H의 두 벡터 a, b들의 합 또한 H에 포함됩니다


스칼라곱도 마찬가지로 H에 포함됩니다

따라서 H는 Rn의 부분공간입니다
2. 기저 (Basis)
지금까지는 부분공간에 대하여 알아보았는데 이번에는 그 부분공간을 형성하는 기저에 대해 알아봅시다
간단히, 부분공간 H를 형성하는 집합 중 원소의 개수가 최소인 것을 기저(Basis)라 하는데 다음 두 가지 조건을 만족해야 합니다
a. 선형독립(Linearly independent, 일차독립)일 것
b. 기저들이 H를 span(생성)할 것
이상 두 가지 조건을 만족하는 "집합"을 H의 기저라 합니다
선형독립의 정의는 다음과 같습니다
행렬 A에 대하여 선형방정식 Ax=0의 해가 오직 자명해(only trivial solution)만 존재할 경우 A의 열벡터들은 선형독립 관계입니다
Trivial solution이라 함은 Ax=0을 충족시키는 자명한 해를 말하며 x=0 또는 영벡터인 해를 말합니다
행렬이 주어지면 열벡터의 관점으로 분석하고 거꾸로 m x 1 벡터 n 개가 주어지면 이것들을 모아 m x n 행렬을 이루면 됩니다
추가로, Ax=0가 영벡터가 아닌 해를 가지면 그것을 Nontrivial solution이라 하며 이 경우 A의 열벡터들은 선형종속(Linearly dependent, 일차종속)의 관계입니다
어떤 행렬의 열벡터들이 Rn을 span하는지 확인하는 방법은 Echelon form으로 바꾸어 pivot의 개수를 세어보는 것입니다/(다음 게시글에서 Col A 설명하면서 자세히 다룹니다) 즉 m x n 행렬 A의 pivot 개수가 k개라면 A의 열벡터들은 Rk를 span합니다
이번 글에서는 기저들에 대한 정의까지만 알아보고 다음 글에서 부분공간에 대한 기저를 구해보는 예제를 살펴봅시다
Any Qustions, Any Comments are WELCOME :)
오타나 오류 지적 감사히 받습니다
'MATHEMATICS > 선형대수학' 카테고리의 다른 글
| [선형대수학] 크래머 공식 (Cramer's Rule) (0) | 2021.11.04 |
|---|---|
| [선형대수학] 열공간과 영공간 (Column Space and Null Space) (7) | 2021.11.01 |
| [선형대수학] 차원, 랭크 (Dimension, Rank) (0) | 2021.10.29 |
| [선형대수학] 열공간과 영공간 (0) | 2021.10.27 |
| [선형대수학] 선형방정식 (2) (0) | 2021.10.19 |