1. Column Space, Null Space
행렬과 관계된 두 부분공간 Col A와 Nul A를 소개합니다. 한국어로는 열공간과 영공간이라 번역되는 것 같습니다
Column space of A (이하 Col A)는 행렬 A의 열벡터들을 span한 subspace, Null space of A (이하 Nul A)는 행렬 A에 대해 Ax=0 라는 선형방정식의 해집합입니다
Column space의 정의는 다음과 같습니다
행렬 A의 Column space 는 A의 열들의 모든 선형결합이다. 즉

Definition of column space of A
또한 m x n 행렬 A의 Column space는 Rm의 부분공간입니다(행의 개수 m을 따라감)
벡터표현으로 Col A를 나타내면 다음과 같습니다

Ax 자체가 A의 열벡터들의 모든 선형결합을 의미하기 때문에 위와 같이 표현할 수 있습니다
다음으로 Null space의 정의를 보겠습니다
m x n 행렬 A의 Null space는 제차 방정식 Ax=0의 모든 해 집합이다. 즉

열공간과 마찬가지로 A의 영공간(Nul A)도 Rn의 부분공간입니다
(예제 1) 행렬 A에 대하여 열공간과 영공간을 구하고 각 부분공간의 기저를 구하여라

Col A를 구하기 위해서는 기본적인 행렬의 성질들을 알고 있어야 하는데 열공간과 관계있는 몇 가지 성질만 정리하면 다음과 같습니다
m x n 행렬 A에 대해, 다음 명제들은 논리적으로 동치입니다

또한 A가 k개의 피벗 칼럼(pivot column)을 가지면 행렬 A의 열벡터들은 Rk를 span하며 각 피벗 칼럼은 Col A의 기저가 됩니다
Col A는 행렬 A를 Echelon form으로 바꾸어 각 행의 Pivot position을 구하는 것부터 시작합니다

행렬 A의 Echelon form이 3개의 피벗을 가집니다. 따라서 행렬 A는 R3를 span하며 1, 2, 4 번째 열벡터가(이 경우 처음 A의 열벡터) Col A의 기저가 됩니다



열공간의 기저를 구할 때 주의해야 하는 것은 Reduced echelon form으로 바꾼 행렬이 아닌, 원래 행렬 A에서 기저를 구해야 한다는 것입니다. REF로 바꾸었을 때 얻는 pivot column과 대응되는 행렬 A의 column들이 아닌 REF에서 기저를 구하는 실수를 범하지 않도록 합시다
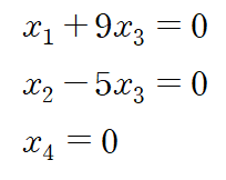
다음은 영공간입니다. 영공간은 직접 선형방정식을 수립하고 해를 구해야 합니다. 위에서 구한 Echelon form에 이어 Reduced Echelon form 을 구해 선형방정식의 해를 구해보겠습니다

REF로부터 해를 구하면 다음과 같습니다

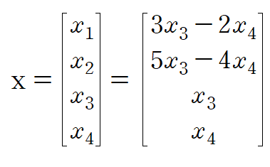
모든 해집합을 벡터 x로 표현합니다

해집합은 free variable에 대해 표현합니다(pivot 이 없는 column에 대응하는 변수)
따라서 기저는 다음과 같고 Nul A는 R4의 부분공간입니다


열벡터(Column vector)에 대한 부분공간 열공간(Column space)이 있다면 행벡터(Row vector)에 대한 부분공간 행공간(Row space)도 존재합니다. 그냥 있다고만 아시고 행벡터들을 열벡터 취급해서 손쉽게 구할 수 있습니다
(예제 2) 행렬 A와 벡터 b에 대하여 b 가 A의 열공간에 속하는지 판별하여라

열공간(Col A)은 행렬 A의 열벡터들의 모든 선형결합과 같다고 했습니다. 즉,

이 문제는 Ax=b의 해가 존재하는지 따져주면 됩니다

해의 존재성은 Echelon form으로 바꿨을 때 [0 0 . . . c ] (c≠0)인 행의 존재유무로 판별할 수 있습니다. 저 행이 없으면 해가 존재하고(consistent) 있으면 해가 존재하지 않습니다 (inconsistent)

[0 0 . . . c] 항이 없으므로 해가 존재합니다. 따라서 주어진 벡터 b는 행렬 A의 열공간에 속합니다 (참)
(예제 3) 행렬 A의 영공간을 이루는 기저를 구하여라

영공간이란 아래와 같은 제차방정식(Homogeneous equation)의 해집합입니다

해서 아래와 같이 [A 0] 첨가행렬을 세우고 실제적인 해를 구해야 한다고 했습니다



REF로부터 다음 연립방정식을 얻습니다

일반해를 열벡터 x로 표현하면 다음과 같습니다

Free variable인 x3과 x4로 정리하면

기저를 구할 수 있습니다


☕ 커피 한 잔보다 싼 선형대수학 모의고사 ☕
잘 공부하고 있는지 확인하실 수 있도록
기말고사를 대비할 수 있는 가벼운 모의고사를 준비했습니다.
✅ 커피 한 잔보다 싼 3,900원
✅ 총 12문제, 상세한 해설 포함 (20p가량)
✅ 문제와 해설 모두 한국어입니다.
✅ 출제단원
- 연립방정식
- LU분해
- 그람-슈미트 과정
- QR분해
- 고유값과 고유벡터
- 역행렬
- 특잇값 분해(SVD)
🚫 본 모의고사는 시험 대비 및 복습용으로 제작되었습니다.
🚫 자료의 무단 배포 및 판매 시 저작권법에 의한 처벌을 받을수 있습니다
🚫 전자책 특성 상 환불이 불가합니다.
✉️ 질문 및 기타 문의는 hyonklee@gmail.com
시험지 샘플입니다.


해설 샘플입니다.


'MATHEMATICS > 선형대수학' 카테고리의 다른 글
| [선형대수학] 고윳값, 고유벡터, 고유공간 (Eigenvalue, Eigenvector, Eigenspace) (0) | 2021.11.10 |
|---|---|
| [선형대수학] 크래머 공식 (Cramer's Rule) (0) | 2021.11.04 |
| [선형대수학] 부분공간, 기저 (Subspace, Basis) (0) | 2021.10.30 |
| [선형대수학] 차원, 랭크 (Dimension, Rank) (0) | 2021.10.29 |
| [선형대수학] 열공간과 영공간 (0) | 2021.10.27 |