반응형
Homogeneous Linear ODEs of Second Order의 Fundamental Theorem인 중첩원리를 증명해 보겠습니다.
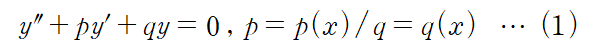
아래 2계 제차 선형 상미분 방정식 (1)을 봅시다.

p=p(x) / q=q(x)는 p와 q가 오직 x의 함수라는 것을 의미합니다.





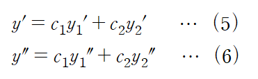
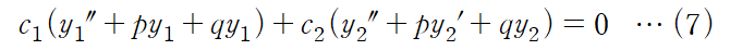
이제 이 식들을 처음 방정식에 대입해서 정리합니다.





Any Qustions, Any Comments are WELCOME :)
오타나 오류 지적 감사히 받습니다
반응형
'MATHEMATICS > 공업수학' 카테고리의 다른 글
| [공업수학] 편미분 방정식 (2) : 비제차 방정식(Time-Independent) (0) | 2023.01.04 |
|---|---|
| [공업수학] 2.1-1 중첩원리 (Superposition Principle) (2) | 2023.01.04 |
| [공업수학] 1.5-2 베르누이 방정식(Bernoulli Equation) (3) | 2023.01.02 |
| [공업수학] 연립미분방정식 예제 : 비제차 방정식 (Nonhomogeneous Equation) (0) | 2023.01.01 |
| [공업수학] 1.5-1 선형 상미분방정식(Linear ODEs) (1) | 2022.12.30 |