조금은 충격적이었던 완전미분방정식이었습니다. 그에 비하면 오늘 배우는 선형 상미분방정식은 조금 낫습니다. 1.1 미분방정식 분류에서 선형/비선형에 따른 분류를 다들 기억하고 있지요? 가물가물하다면 위 파란 글씨 클릭하셔서 복습하시고 본 챕터 시작하시길 추천합니다. 앞서 배운 선형이라는 개념을 토대로 1.5 선형 상미분방정식을 배워봅시다.
(i) Linear ODEs
1계 상미분 방정식이 다음과 같은 형태일 때, 선형성을 갖습니다.

또는

둘 다 같은 의미의 식이지만, 이번 시간에서는 둘 중 (a)-1형태의 상미분방정식을 주로 다룹니다. r(x)를 우변에 홀로 두고 계산하는 것이 편하기 때문입니다.
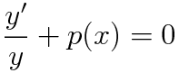
(ii) Homogeneous Linear ODE (제차 선형 방정식)
위 식에서 r(x)=0일때, 즉 y'+p(x)y=0일때 Homogeneous Linear ODE라 명명합니다. (한국어로는 제차 선형 방정식) 제차 방정식이라는 말은 쉽게 말해서 x나 상수로만 이루어진 항이 없는 방정식을 말합니다. 즉 아래와 같은 형태에서 시작합니다.

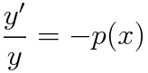
이 미분방정식의 해를 구해봅시다. 근데 우리가 알고있는 어떤 형태랑 비슷해보이지 않나요? 1.1에서 본 변수분리형으로 분류할 수 있습니다. 따라서 다음 일련의 과정을 통해 해를 구할 수 있습니다.



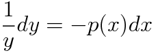
이므로 다음과 같이 dy와 dx를 분리해서 정리할 수 있습니다.

양변을 적분해주면



짜잔 이렇게 1계 제차 선형 상미분 방정식의 해를 구할 수 있습니다. 이번에는 비제차일 경우에 해를 구하는 방법을 알아봅시다.
(iii) Nonhomogeneous Linear ODE (비제차 선형 방정식)

비제차이려면, r(x)가 0이 아니어야 한다는 조건이 붙습니다. r(x)=0이면 제차 방정식이구요. 이 경우에는 제차방정식처럼 변수분리형으로 풀 수가 없습니다. 그럼 어떻게 푸느냐? 일단 공식부터 알아봅시다.


뜬금없이 왜 이상하게 생긴 애를 곱해주는거지..? 싶지요? 저 p(x)를 적분한 것이 e 위에 올라가 있는 것을 우리는 적분인자라고 부를겁니다. 지난 번에 완전미분방정식에서 사용했던 적분인자와 비슷한 개념입니다. 적분을 용이하게 해주는 어떤 인자(Integrating Factor. 이하 I.F.)를 적분인자라고 부르는 거죠. 일단 아래 예제를 따라가면서 느낌 잡아봅시다
(예제 1) 다음 미분방정식의 해를 구하여라

(a) 양변에 적분인자 곱해주기

이므로, 적분인자를 구하면 다음과 같습니다.



한 가지 유의할 것이 있습니다. 적분인자를 구할 때 나오는 적분상수는 취급하지 않습니다.
다음으로 양변에 적분인자를 곱해주면

위 식을 얻을 수 있는데요, 이때 좌변이 아래와 같이 y sec x를 미분한 것이라는 것을 알 수 있습니다. 즉,

따라서 식을 다시 정리해주면

(b) 양변 적분 후 y에 대해 정리하기


일련의 과정을 거쳐서, 해를 구할 수 있습니다.
음.. 아직도 감이 잘 안 온다구요? 그럼 한 가지만 일단 가져가봅시다. 적분인자를 곱해줬더니 좌변이 y곱하기 적분인자의 미분꼴이 되었죠? 이 부분은 풀어설명하는 것보다 수식으로 보여주는 게 조금 더 이해가 잘 되더라구요

위 (a)-1의 양변에 적분인자를 곱해줍시다.

이렇게 말이죠. 이렇게 되면 좌변이 y곱하기 적분인자의 미분꼴이 됩니다.

다음으로 양변을 적분해서 y에 대해 정리하면 해를 구할 수 있겠지요?
여기까지가 비제차 선형방정식의 해를 구하는 방법이었습니다
이제 예제를 몇 가지 풀어보고 마무리해봅시다
(iv) 예제풀이
(예제 2) 다음 미분방정식의 해를 구하여라

(a) 양변에 적분인자 곱해주기

위와 같이 적분인자를 구할 수 있고 좌변은 y와 적분인자를 곱한 것의 미분 즉 아래와 같습니다.

(b) 양변 적분 후 y에 대해 정리하기
양변을 적분해주면 다음 식을 얻습니다.

y에 대해 정리해주면

라는 일반해를 얻을 수 있습니다.
참 쉽죠? 지난 시간에 배운 완전미분방정식보다는 훨씬 간단합니다.
(예제 3) 다음 미분방정식의 해를 구하여라

이번에는 초깃값이 주어졌습니다. 적분상수를 깔끔하게 없앨 수 있겠군요
(a) 양변에 적분인자 곱해주기

주어진 식의 양변에 적분인자를 곱해주면 다음과 같은 식을 얻습니다.

(b) 양변 적분 후 y에 대해 정리하기
양변을 적분해주면

위 식을 얻습니다. 이제 y에 대해 정리해줍시다

마지막으로 초깃값을 를 적용하면 C = -2.5를 얻고 주어진 미분방정식의 해를 구할 수 있습니다.

<1.5-1 1계 선형 상미분 방정식 요약>

'MATHEMATICS > 공업수학' 카테고리의 다른 글
| [공업수학] 1.5-2 베르누이 방정식(Bernoulli Equation) (3) | 2023.01.02 |
|---|---|
| [공업수학] 연립미분방정식 예제 : 비제차 방정식 (Nonhomogeneous Equation) (0) | 2023.01.01 |
| [공업수학] 1.4-3 적분인자(Integrating Factor) (2) | 2022.12.30 |
| [공업수학] 1.4-2 완전미분방정식 예제 (0) | 2022.12.29 |
| [공업수학] 1.4-1 완전미분방정식(Exact ODEs) (0) | 2022.12.29 |