간단한 변수분리형 1계 상미분 방정식을 풀어보자. 1.2는 방향장(direction field)에 관한 내용인데 깊게 들어가지 않고는 딱히 알 필요성이 적기 때문에 건너뛴다. 방향장이 뭔지 알고 싶은 사람은 아래 링크로
https://blog.naver.com/NBlogTop.naver?blogId=roty22&Redirect=Dlog&Qs=/dydrogud22/220108163230
수학-방향장과 오일러 방법
<방향장> 지금까지 간단한 일계 미분방정식의 해를 구해 보았다. 해가 알려진 특별한 미분방...
blog.naver.com
1. 변수분리형 상미분 방정식의 형태
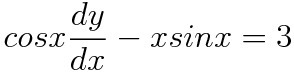
이번 시간에 다루는 변수분리형 미분방정식은 1계 미분방정식이다. 영어로는 separable ODE 혹은 separation of variables 라고 한다. 챕터 1에서 다루는 미분방정식 대부분은 간단한 1계 미분방정식인데 그 중에서도 가장 간단한 형태가 이 변수분리형이다. 변수분리형 미분방정식을 보기에 앞서 1계 미분방정식의 예 몇가지를 보고 가자.


이런 애들이 1계 미분방정식이다. 첫번째나 두번째 모두 1계.1차.선형.상미분 방정식이다. 이런 애들 중 변수분리형 미분방정식은 다음과 같은 형태를 가진다.

또는

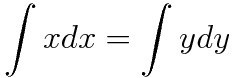
엥 왜 dy와 dx가 분리가 되었지? 하는 사람에게 간단히 말하자면 y는 y끼리 모으고 (dy 포함), x는 x끼리 모아서(물론 dx포함) 정리한 것이다. 이렇게 정리가 되는 상미분 방정식들을 변수분리형 상미분 방정식이라고 한다. 이 친구들은 양변에 적분을 취해주면 각 변수에 대한 어떤 함수꼴로 쉽게 정리가 된다. 즉 미분소(dy 나 dx)가 없는 형태의 식을 도출할 수 있다. 간단한 예를 보자
2. 예제풀이
(예제 1) 다음 미분방정식의 해를 구해라

x는 x끼리, y는 y끼리 모아서 정리해주자

양변에 부정적분을 취해주고


부정적분을 풀면 위와 같은 형태가 된다. 이때 양변에 나오는 적분상수는 한쪽으로 몰아서 정리해도 무방하다. 그 편이 훨씬 깔끔. 여기까지 구해도 되고 양함수꼴의 해를 구해야 한다면, y=f(x)꼴로 정리를 해주면 된다. 위 경우에는 다음과 같이 정리할 수 있다.

따지자면 근호 안에 C가 아니라 -C라고 해야 깔끔할 수,도 있겠는데 어차피 상수니까 C로 정리해줘도 된다.
(예제 2) 다음 미분방정식의 해를 구해라

x는 x끼리, y는 y끼리 모아서 정리해주자

양변 적분해주면 아래 식을 얻을 수 있다.

y를 감싸고 있는 ln을 벗겨주면

이런 일반해를 구할 수 있다. tanx + C를 좀더 간단히 정리해주면

이렇게도 정리해줄 수 있다. (e^C를 C라는 상수로 취급)
3. 초깃값 문제 (Initial Value Proble; IVP)
고등학교 미적분에서 적분상수를 없애기 위해서는 (상수를 확정짓기 위해서는) f(a)=b라는 함숫값 하나가 필요했다. 이 함숫값을 문제에서 주지 않으면 적분상수를 없앨 수가 없다. 공업수학의 미분방정식도 마찬가지다. 단, 함숫값은 초깃값으로 한정된다. 이게 무슨 말이냐 하면 x=0일때의 함숫값을 주어준다는 뜻이다. 물론 그렇지 않은 경우도 있는데 대부분 그렇다. 이유는 간단하다. 미분방정식을 푸는 이유는 변화를 토대로 미래의 물리량을 파악하는 것에 있는데 x=0일 때, 즉 초기의 물리량을 주어주는 것이다. 변화하고 있는 중간의 값보다는 초기의 값이 실제로 측정하기 용이하기 때문이다. 단순히 예제 한 개를 푸는 것을 넘어서 실생활의 Problem을 해결하는 Solution을 구함에 있어서는 초깃값을 다루는 것이 거의 필수불가결하다.
초깃값은

형태로 주어지는데 우리가 알고있던 함숫값과는 조금 다른 형태로 주어진다. 저 식이 의미하는 바는 이렇다. "x=0일때 y값은 4입니다." 또는 "t나 r 등을 변수로 가지는 y가 있다. 변수의 값이 0일 때 y의 값이 4이다."와 같이 이해하면 된다.
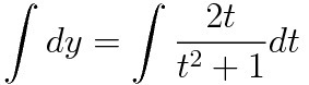
(예제 3) IVP를 풀어라


일단 t와 y를 각각 모아서 적분해주면 다음과 같다.


여기서 초깃값 y(0)=ln4를 대입해주면



라는 특수해를 얻을 수 있다.
※특수해와 일반해를 구분하는 간단한 방법은 적분상수가 있느냐 없느냐이다. 일반해(general solution)는 초깃값이 적용되지 않은 해, 특수해(particular solution)는 초깃값을 적용해 얻은 특정한 해라고 이해하면 된다.
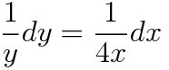
(예제 4) 다음 IVP를 풀어라

,


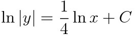
x는 x끼리, y는 y끼리 모아주고 적분한다.


여기서 초깃값을 바로 적용해주자

이므로 특수해는 다음과 같다.

어떤 방정식이 변수분리형이라면, 한 가지만 기억하면 된다. x는 x끼리, y는 y끼리.
<1.3 변수분리형 미분방정식 요약>

'MATHEMATICS > 공업수학' 카테고리의 다른 글
| [공업수학] 편미분 방정식 (1) : 변수분리부터 푸리에 변환까지 (2) | 2022.12.27 |
|---|---|
| [공업수학] 푸리에 변환(Fourier Transform) (0) | 2022.12.27 |
| [공업수학] 1.1 미분방정식의 분류 (0) | 2022.12.26 |
| [공업수학] 연립미분방정식 예제 : 제차 방정식 (Homogeneous Equation) (0) | 2022.12.17 |
| [공업수학] 스토크스 정리(Stokes' Theorem) 예제 (0) | 2022.12.13 |