이번 시간에는 미분방정식을 분류하는 방법에 대해 알아보자.
마치 판사가 법정에서 이런 항목에 대해서 이러이러한 죄를 적용한다고 선언하는 것처럼, 유난히 격해지는 NBA플레이오프 시즌에 어떤 경우는 오펜스파울이고 어떤 경우는 디펜스파울인지 정하는 Rule이 있는 것처럼, 우리도 미분방정식을 잘 다루기 위해서는 그것들을 분류하는 Rule이 있어야 한다. 미분방정식을 푼다는것은 주어진 등식을 만족하는 y를 y=f(x)꼴의 함수로 정리하는 것을 의미한다.(상미분 방정식의 경우 한정) 그리고 우리가 분류하는 이유는 각 분류에 따라서 적용할 수 있는 쉬운 Solution이 다르기 때문이다.
간단하다. 몇 번 보면 익숙해지니 겁먹지 말도록! 아직 시작도 안했으니.. ;)
1. 상미분 / 편미분 (ODE / PDE)
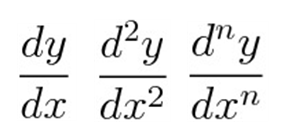
상미분과 편미분은 미분하는 함수의 변수가 몇개인지에 따라서 결정된다. 우리가 고등학교 때 일반적으로 사용하는 미분은 상미분이고 형태는 다음과 같다.

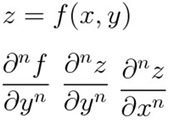
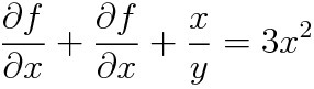
편미분은 기호∂(라운드) 를 사용해 다음과 같이 나타낸다.

상미분 방정식과 편미분 방정식는 통상 다음과 같은 형태를 가진다.




영어 약어 표현은 ODE와 PDE인데, 일단 DE는 Differential Equation이고 각각 상미분을 뜻하는 Ordinary와 편미분을 뜻하는 Partial을 앞에 붙여 ODEs, PDEs라 부른다.
2. m계 n차
m계도함수라는 뜻은 어떤 함수를 m번 미분한 도함수를 의미한다.(다 알고있지요??) m계 미분방정식은 단순히 그 m계도함수가 있는 미분방정식을 의미한다. 더 정확히는 가장 higher한 derivative의 order가 m이라는 뜻이다.



직관적으로 제일 고계도인 도함수를 찾으면 된다.
n차 미분방정식이라는 뜻은 최고계도함수의 거듭제곱이 n차임을 의미한다.


다른 도함수의 거듭제곱 차수는 상관이 없다. 최고계도함수만 보면 된다. 편미분은 따로 다루지 않겠다. d 대신에 ∂가 있으면 편미분 방정식이니까. 근데 사실 우리가 다룰 미분방정식은 n계 1차 상미분방정식(선형 상미분 방정식)이 99%이기 때문에 이렇게 분류한다 정도만 알고 있으면 된다.
3.선형성 (Linearity)
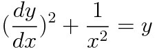
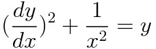
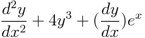
선형대수학에 나오는 그 선형성이 맞다. 쉽게 말해서 구하고자 하는 y와 y의 도함수들이 선형성을 띄는 미분방정식을 선형 미분방정식이라고 한다.(Linear DEs) 그렇지 않은 미분방정식은 비선형. 위에 나온 2계 1차 상미분 방정식 예시는 비선형 미분방정식이다. 이번에도 예시를 통해 느낌 알아보자



y앞에 뭐가 붙어있는 지는 상관 없다. 오로지
의 차수가 1이냐 아니냐에 따라 선형성이 결정된다. 엄밀한 정의는 다음과 같다.


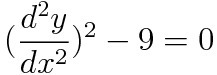
비선형 방정식의 예시이다.


좀 괴랄하게 생겼다 싶으면 비선형이라고 봐도 무방할 정도..
4. 제차 / 비제차 (Homogeneous / Nonhomogeneous)
마지막 제차 / 비제차 이다. 제차냐 비제차냐에 따라서 풀이과정의 길이가 크게 차이가 나기 때문에(제차 쪽이 훠어어어어어얼씬 간단) 본 분류기준을 알아야 한다고 말해도 과언이 아니다(..)
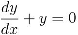
제차 미분방정식의 예시부터 확인해보자

기본적으로 위와 같은 모습을 하며, 특징은 y가 붙어있지 않은 항이 없다는 것. 이후에 비제차를 다루면 제차가 무엇인지 더 확실하게 와닿는다. 지금까지 소개한 네 가지 분류기준을 모두 적용해 위의 미분방정식을 정의하자면 무려 "2계 1차 선형 제차 상미분 방정식"이 된다.

다음은 비제차 방정식이다.


r(x)가 0이 아니어야 한다. 라는 뜻은 y가 붙어있지 않은 항이 있는 미분방정식을 의미한다.
제차 방정식일 경우 중첩의 원리(principle of superposition)이 성립해, 여러 해들의 합이 다시 해당 미분방정식의 해가 되는 신기한 성질을 가지고 있다.
<1.1 미분방정식의 분류 요약>

'MATHEMATICS > 공업수학' 카테고리의 다른 글
| [공업수학] 푸리에 변환(Fourier Transform) (0) | 2022.12.27 |
|---|---|
| [공업수학] 1.3 Separable ODEs (변수분리형 상미분 방정식) (0) | 2022.12.27 |
| [공업수학] 연립미분방정식 예제 : 제차 방정식 (Homogeneous Equation) (0) | 2022.12.17 |
| [공업수학] 스토크스 정리(Stokes' Theorem) 예제 (0) | 2022.12.13 |
| [공업수학] *편미분 방정식 예제 : 라플라스 변환* (0) | 2022.06.17 |