재료역학
지난 글에 이어 전단력 선도(Shear force diagram)와 굽힘모멘트 선도(Bending moment diagram) 예제를 풀어봅시다.
기본적인 문제풀이 순서는 (1)반력계산 → (2)전단력 선도 → (3)굽힘모멘트 선도 입니다.
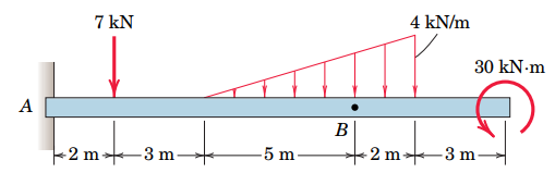
(예제) 전단력 선도와 굽힘모멘트 선도를 그리고, B에서의 전단력과 굽힘모멘트를 구하여라

(1) 반력 계산
점 A에서 수직방향 반력과 모멘트 반력이 발생합니다.
점하중 7kN과 분포하중 14kN에 대한 반력 21kN이 발생합니다.

x=2m에서 가해지는 점하중 7kN에 의한 모멘트 14kN·m, 분포하중에 대한 모멘트 135.33kN·m, 시계반대방향 우력 30kN·m에 대한 모멘트 반력 119.33kN·m이 발생합니다.

분포하중에 대한 모멘트는 분포하중을 점하중으로 치환하여 쉽게 구할 수 있습니다. 분포하중의 총하중을 구한 다음 분포하중의 무게중심(도심)을 찾아 그곳에 점하중이 가해진다고 치환할 수 있습니다.
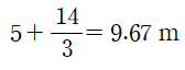
도심의 위치는 삼각형의 무게중심 구하는 공식에 분포하중이 시작되는 위치를 더해 구할 수 있습니다.


점 A에서 반력을 정리하면 다음과 같습니다.

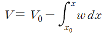
(2) 전단력 선도
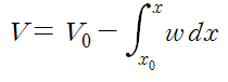
※지난 글에서 배운 전단력-하중 관계식을 사용합니다.

반력과 x=2m에 가해진 점하중에 대한 전단력은 아래와 같습니다.

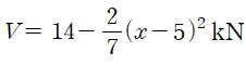
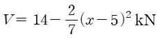
x=5m부터 x=12m 구간에 가해진 분포하중에 대한 전단력 선도를 그리기 위해서는 먼저 분포하중을 x에 대한 함수 즉 w=w(x)로 표현할 수 있어야 합니다.

전단력-하중 관계식에 대입합니다

적분기호를 풀면 분포하중 구간에서 전단력은 다음과 같습니다.

이상을 종합한 전단력 선도는 다음과 같습니다.

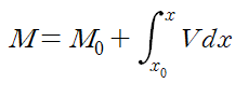
(3) 굽힘모멘트 선도
※지난 글에서 배운 굽힘모멘트-전단력 관계식을 사용합니다.

A점에서의 모멘트는 119.33kN·m 였는데 이 방향이 빔을 위로 볼록하게 휘게 합니다. 따라서 부호 규약에 의해 A에서 굽힘모멘트는 -119.33 kN·m 입니다.

전단력 선도로부터 굽힘모멘트를 구하는 데 있어서 고려해야 할 것은 구간별 전단력입니다. 이 문제에서는 [0,2], [2,5], [5,12] 로 구간을 쪼개서 전단력을 정적분 안에 넣어주면 됩니다.
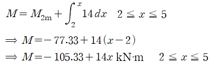
먼저 [0,2] 구간입니다.
[0,2] 구간의 전단력은 21kN이므로 이를 그대로 대입해줍니다.


x=2m 에서의 굽힘모멘트는 다음과 같습니다.

다음 구간에서의 굽힘모멘트를 구하기 위해서는 끝점에서의 굽힘모멘트를 구해야 합니다.
[2,5] 구간에서의 굽힘모멘트를 구합시다.

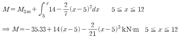
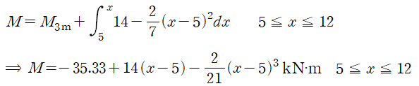
x=5m 에서의 굽힘모멘트 입니다.

[5,12] 구간에서의 굽힘모멘트를 구합시다.

x=12m 에서의 굽힘모멘트 입니다.

x=15m 부분에 음의 굽힘모멘트가 작용하므로 x=15m에서의 굽힘모멘트는 0입니다.
이상의 결과를 종합하여 굽힘모멘트 선도를 그리면 다음과 같습니다.

문제에서 요구한 것 하나가 남았습니다. 점 B에서의 전단력과 굽힘모멘트인데, 간단히 점 B의 위치인 x=10m 지점을 전단력 선도와 굽힘모멘트 선도에서 찾으면 됩니다.


이상입니다
Any Qustions, Any Comments are WELCOME :)
오타나 오류 지적 감사히 받습니다
'기계공학 > 4대 역학' 카테고리의 다른 글
| [재료역학] 보의 순수 굽힘 - 공식 편 (2) | 2022.12.31 |
|---|---|
| [재료역학] 보의 순수 굽힘 - 개념 편 (2) | 2022.12.26 |
| [동역학] 상태공간 모델(State-space model), 전달함수(Transfer Function) (0) | 2022.12.15 |
| [동역학] 전달함수(Transfer Function) 정의, 연립 운동방정식 예제 (0) | 2022.10.26 |
| [동역학] 라플라스 변환의 초깃값 정리(Initial-value theorem) (0) | 2022.10.24 |