다변수함수의 편미분을 할 때, z=f(x,y)의 간단한(비교적..) 형태면 편도함수를 쉽게 구할 수 있지만 x=x(t) 또는 y=y(u,v)와 같이 z를 구성하는 변수가 또다른 변수로 구성된 경우 연쇄법칙을 적용해야만 올바른 편도함수를 구할 수 있습니다. 연쇄법칙의 정의와 간단한 다이어그램을 그려 문제를 쉽게 풀 수 있는 방법을 알아봅시다
1. 다변수함수의 편미분
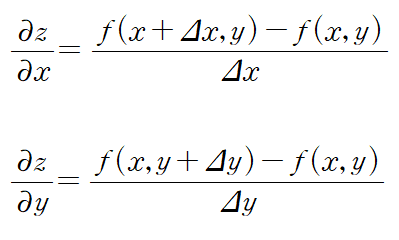
다음의 z=f(x,y) 이변수함수에 대해 편도함수의 표현들은 아래와 같습니다

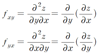
1계 편도함수

2계 편도함수

fxy, fyx 가 모두 연속이면 아래 두 편도함수는 같습니다 (fxy = fyx , 클레로 정리)

표현은 저렇고, 일변수함수의 미분처럼 슉슉 계산해주면 됩니다
정의에 대한 편도함수의 계산은 다음과 같습니다

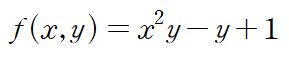
(예제 1) fx, fy 를 구하여라

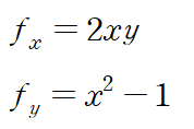
편도함수는 다른 변수들을 모조리 상수취급하여 구할 수 있습니다
fx 는 y를 상수취급하여 -y+1을 모두 날려버리고, fy 는 x를 상수취급하여 x2y 항의 계수인 x2만이 남습니다(마치 일차함수 미분)

(예제 2) fx, fy 를 구하여라

먼저 x에 대한 편미분을 시행할 건데, y를 상수취급해도 두 함수가 곱해진 꼴이니, 곱의 미분법을 사용하여 편도함수를 구합니다 ( (fg)'=f'g+fg')

y의 경우 x2 이 상수취급되니 sin(y+x) 를 미분해주면 됩니다

2. 편미분에서의 연쇄법칙 (Chain rule)
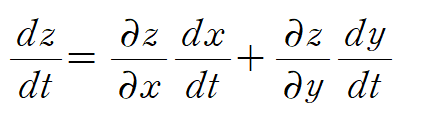
z가 다음과 같이 정의되어있다고 합시다

여기까지 보면 z는 x와 y에 대한 함수입니다. 추가적으로 다음과 같은 조건이 붙는다면 또 다른 문제가 됩니다

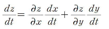
이때 t에 대한 z의 미분은 다음과 같습니다

쉽게 말하자면 편미분하고자 하는 문자가 있으면, 그 문자를 거쳐가는 것을 모두 표현해 더해야 됩니다

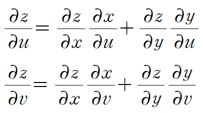
x=x(u,v), y=y(u,v)라면 연쇄법칙에 의해 다음이 성립합니다

x, y가 u,v의 함수라면

u, v 에 대한 z의 편미분은 각각 아래와 같습니다

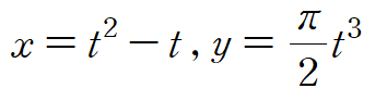
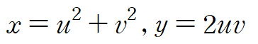
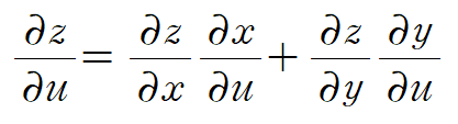
(예제 3) u에 대한 z의 편도함수를 구하여라


먼저 변수들간의 관계를 나타내면 아래와 같습니다

u -> z로 갈 때 거쳐가는 변수는 x, y입니다. 연쇄법칙을 이용해 표현하면 다음과 같습니다

연쇄법칙을 적용하면 u에 대한 z의 편미분은 위 식과 같습니다
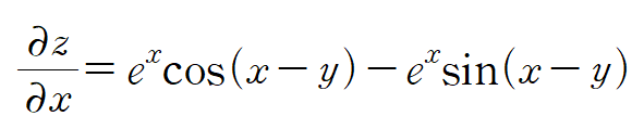
먼저 x에 대한 z의 편미분을 구합니다. 곱의 미분법을 적용합니다

y에 대한 z의 편미분은 다음과 같습니다. ex를 상수취급해야 하니, 곱의 미분법을 적용할 필요는 없습니다

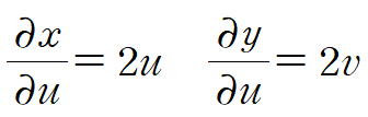
u에 대한 x와 y의 편미분은 각각 아래와 같습니다

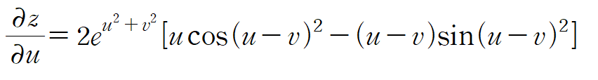
이상의 결과를 가지고 u에 대한 z의 편미분을 구하면

위와 같이 적어도 되고 u, v를 이용해 표현해주어도 좋습니다

Any Qustions, Any Comments are WELCOME :)
오타나 오류 지적 감사히 받습니다
'MATHEMATICS > 미분적분학' 카테고리의 다른 글
| [미분적분학] 라그랑주 승수법 예제 (0) | 2021.12.12 |
|---|---|
| [미분적분학] 그린정리(Green's Theorem) 예제 (0) | 2021.12.10 |
| [미분적분학] Cylindrical Shell Method (4) | 2021.04.17 |
| [미분적분학] 이상적분 (Improper Integral) (0) | 2021.02.06 |
| [미분적분학] 비판정법 (Ratio Test) (0) | 2021.02.06 |