원통각법, 원통셸 방법, 원통껍질법 등 다양한 이름으로 번역되는 Cylindrical shell method. 영어로 수업을 들어서 해당 개념에 대한 정확한 번역이 어떻게 되는지는 잘 모르겠습니다. 오늘 소개하는 이 Cylindrical shell method는 회전체의 부피를 구하는 방법 중 하나입니다. 일반적으로 회전체의 부피는 회전축을 수직으로하는 단면적을 적분해 구하는 반면 Cylindrical shell method는 회전체를 여러 개의 껍질(shell)로 잘개 쪼개 적분합니다. 발상 자체가 특이하죠?

(i) Definition
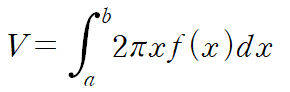
a<x<b에서 y=f(x)를 y축에 대하여 회전시킨 회전체의 부피는 다음과 같습니다.

그림으로 알아보죠. 아래와 같은 f(x)가 주어졌습니다.

위 그림에서 y=f(x)가 x=a, x=b, x축으로 둘러싸인 영역을 y축에 대해 회전시키면 다음과 같습니다.

회전축에 수직인 디스크를 잘라 부피를 구하는 기존의 방법으로는 구하기 어렵습니다. 디스크 메소드를 이용할 경우 y축과의 거리를 반지름으로 하는 디스크들을 더해 전체 부피를 구하고 안쪽의 빈 공간을 빼주는 번거로운 과정을 거쳐야 합니다.
Cylindrical shell method의 경우 한 번의 계산으로 회전체의 부피를 구할 수 있습니다. 아래 그림처럼 회전체를 무수히 많은 원통형 껍질(shell)로 쪼개어 계산합니다.


이때 원통형 껍질 각각의 부피는 다음과 같습니다. 무엇이 원통의 반지름, 높이인지 적절히 정하는 것이 관건입니다.


y축에 대해 회전한 일반적인 경우 반지름은 x, 높이는 f(x)입니다. 원통껍질의 부피는 2πx · Δx · f(x)입니다. Δx는 껍질의 두께입니다.
따라서 회전체의 부피를 다음과 같이 표현할 수 있습니다.

r은 원통의 중심까지의 반지름 r=r(x), h는 각 x에 대한 원통의 높이 h=h(x)입니다
(ii) Application
y축이 아닌 임의의 축에 대해서도 cylindrical shell method를 적용할 수 있습니다. 축에 의해 정의되는 원통의 반지름과 높이를 잘 파악하면 됩니다.

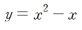
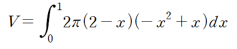
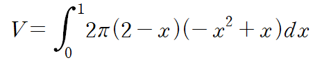
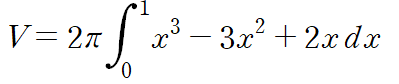
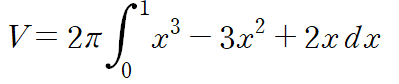
주어진 함수 y와 x=0, x=1, x축으로 둘러싸인 영역을 직선 x=2에 대해 회전시킨 회전체의 부피를 구해봅시다.

복잡해보이지만 간단합니다. 반지름 r과 높이 h를 찾으면 끝입니다.


축과의 거리는 2-x이고, 높이 h는 -f(x)입니다. 높이가 양수이기 때문에 음수인 함숫값 f(x)에 대해 -를 붙여주었습니다.

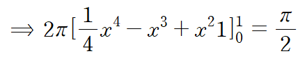
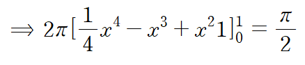
따라서 회전체의 부피는 다음과 같습니다.


따라서 부피는 π/2 입니다.

다시 강조하지만 중요한 것은 반지름과 높이입니다!
(iii) Example
몇 가지 예제를 풀어보며 Cylindrical shell method 에 익숙해지는 시간을 가져봅시다.
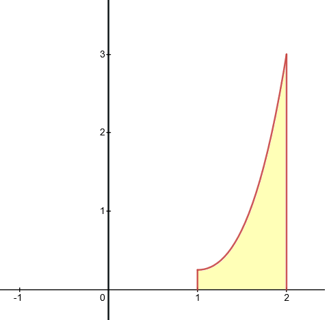
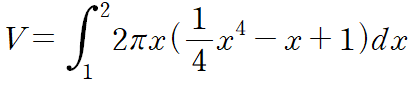
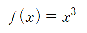
(예제 1) f(x)와 x=1, x=2, x축으로 둘러싸인 영역을 y축에 대해 회전시킨 회전체의 부피를 구하여라

제시된 영역은 아래 그림처럼 생겼습니다.

반지름 r은 x, 높이 h는 f(x)입니다. 따라서 회전체의 부피는 다음과 같습니다.



간단히 구할 수 있습니다.

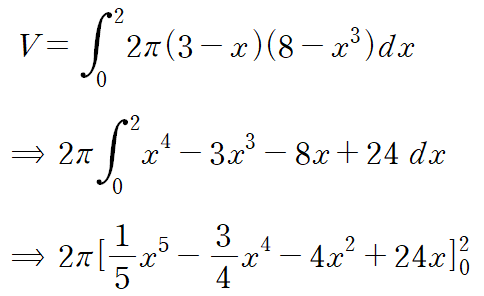
(예제 2) f(x)와 두 직선 y=8, x=0 으로 둘러싸인 영역을 x=3에 대해 회전시킨 회전체의 부피를 구하여라

주어진 조건에 의해 생기는 영역은 다음과 같습니다.

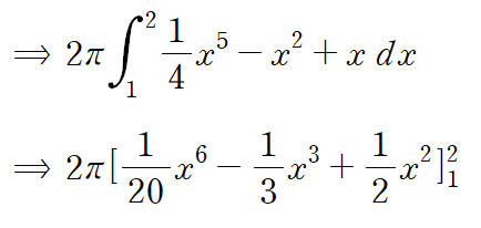
마찬가지로 반지름과 높이를 구해주면 됩니다.


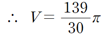
이를 적용해 회전체의 부피를 구합니다.

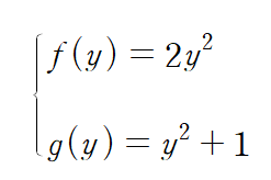
(예제 3) x=f(y)와 x=g(y)로 둘러싸인 영역을 y=-2에 대해 회전시킨 회전체의 부피를 구하여라

f(y)와 g(y)로 둘러싸인 영역은 다음과 같습니다.

마찬가지로 반지름과 높이를 구해주면 되는데, 조금 헷갈리는 부분들이 있습니다. 이럴 경우 당황하지 말고 "변수"와 "범위"부터 정리합시다.
(1) 적분하는 변수
적분하는 변수는 회전시켰을 때 껍질이 됩니다. y축에 대해 회전하니 껍질은 Δy가 되고, 적분하는 변수는 y입니다.
(2) 변수 y의 범위
변수 y의 범위는 -1부터 1까지 입니다.
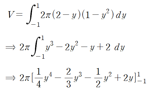
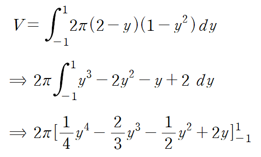
여기까지 정리한 것을 토대로 정적분을 수립해보면

다음으로 반지름과 높이를 구해줍시다.

두 함수로 둘러싸인 영역의 높이이므로 h=g(y)-f(y)입니다.

앞서 수립한 정적분 식에 r과 h를 대입해 부피를 구합시다.

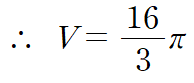
부피 V는 다음과 같습니다.

Cylindrical shell method를 사용할 때는 두 가지 반지름과 높이만 기억하시면 됩니다. 개인적으로는 공식을 외운다기 보다는 상황에 맞추어 반지름과 높이를 설정하는 능력을 갖추는 데에 집중하면 성공적인 학습이 될 것 같습니다 :)
Any Qustions, Any Comments are WELCOME :)
오타나 오류 지적 감사히 받습니다
'MATHEMATICS > 미분적분학' 카테고리의 다른 글
| [미분적분학] 그린정리(Green's Theorem) 예제 (0) | 2021.12.10 |
|---|---|
| [미분적분학] 다변수함수의 편미분, 연쇄법칙 (Chain Rule) (2) | 2021.11.08 |
| [미분적분학] 이상적분 (Improper Integral) (0) | 2021.02.06 |
| [미분적분학] 비판정법 (Ratio Test) (0) | 2021.02.06 |
| [미분적분학] 야코비안(Jacobian) 예제 (0) | 2021.02.06 |