오늘은 Erwin Kreyszig 의 Advanced Engineering Mathematics 에 수록된 선적분 예제를 풀어보자
PART 1) 일반적인 선적분 계산

를 구하여라
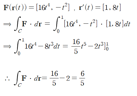
(예제 1)



(예제 2)



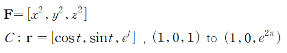
(예제 3)


곡선 C는 위와 같다


PART 2) C가 폐곡선인 경우

를 구하여라
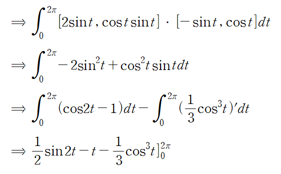
(예제 1)

경로를 매개변수 t 로 나타내면 아래와 같다

곡선 C가 폐곡선이므로 선적분은 폐곡선에 대한 선적분이다

사실 그린정리나 스토크스 정리 등이 아니라 일반적인 선적분 계산 문제에서는 폐곡선이냐 아니냐가 딱히 중요하지 않습니다. 생긴것만 저렇게 생겼지 동일한 방법으로 계산합니다


PART 3) F가 경로 독립(Path Independence)일 경우
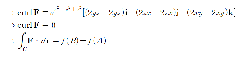
일반적으로 선적분은 경로에 따라 값이 달라집니다. 즉 Path Dependence입니다. 그런데 Path Independence 즉 어떤 경로 r을 잡던 선적분 값이 동일한 경우가 있습니다. F = grad f 인 경우(어떤 함수 f에 대해서 성립하면 됨)와 curl F =0인 경우입니다.

사실 F = grad f라는 식은 culr F = 0 과 동치이므로 둘 중 하나만 성립해도 path independence 입니다. 두 식이 동치라는 사실은 다음 포스팅에서 gradient와 curl 에 대해 소개하며 증명하도록 하겠습니다. 일단은 그러려니 하고 넘어갑시다
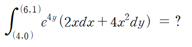
(예제 1)

저렇게 두 점이 적분경로로 주어졌다는 건 두 점 사이의 어떤 경로로 선적분을 취하던 상관 없다는 뜻입니다.


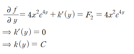
위와 같이 f를 설정하는 스킬은 완전미분방정식의 해를 구할 때도 사용됩니다



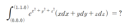
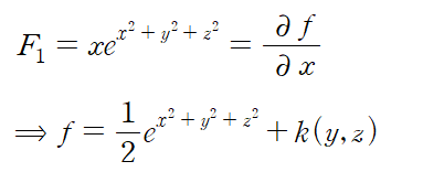
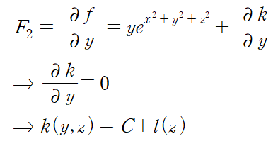
(예제 2)



curl의 정의는 nabla를 이용해 다음과 같이 정의됩니다


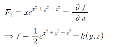
다음은 f를 구하는 과정입니다. 변수가 세 개 일 때도 마찬가지로 미지함수를 두 변수에 대한 미지함수로 설정하고 풀어
나가면 됩니다






Any Qustions, Any Comments WELCOME :)
오타나 오류 지적 감사히 받습니다
'MATHEMATICS > 공업수학' 카테고리의 다른 글
| [공업수학] 5. 완전미분방정식 예제 (2) | 2021.01.17 |
|---|---|
| [공업수학] 4. 오일러 공식(Euler's Formula) (0) | 2020.12.05 |
| [공업수학] 2. 라플라스 변환(Laplace Transform) 예제 (5) | 2020.12.05 |
| [공업수학] 1. 푸리에 급수 (Fourier Series) (1) | 2020.11.25 |
| [공업수학] 0. 미분방정식의 소개 (0) | 2020.10.09 |