#재료역학
하중이 가해진 봉이 두 가지 조건을 만족할 때 균일 상태라 정의됩니다. 첫째, 단면이 균일. 둘째, 하중이 말단에 일정(단일 하중)하게 적용.
그 반대의 경우, 즉 단면이 균일하지 않거나 가해지는 하중이 일정하지 않은 경우 비균일 상태로 정의합니다.
지난 시간에 단일하중 P가 작용했을 때 봉의 길이변화량이 아래와 같음을 알아보았었습니다.

단 조건이 단일하중, 균일단면봉이었습니다. 오늘은 비균일 단면봉의 경우 봉의 길이변화량은 어떻게 구할 수 있는지 알아봅시다.
(i) Definition
유한 개(셀 수 있는)의 하중이 가해졌을 때 봉의 길이변화는 다음과 같습니다.

N은 수직력, L은 수직력이 작용하는 길이, E는 재료의 탄성계수, A는 수직력이 가해진 부분의 단면적 입니다. 단순히 봉 각각에 가해지는 수직력과 봉 각각의 물성치(E,A,L)를 대입해 각 봉의 길이변화를 구한 다음에 모두 더해주면 됩니다.
연속적으로 단면 또는 하중이 변화하는 봉의 길이변화는 다음과 같습니다.

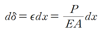
유도는 간단합니다. 변화율 ε을 통해 빠른 유도가 가능합니다.
미소 구간에서의 변화율 ε는 다음과 같습니다.

미소 구간 dx에 대해 미소 길이 변화 dδ는 다음과 같습니다.

이때 P,E,A는 각각 축력, 탄성계수, 단면적을 의미합니다. 탄성계수는 일반적으로 한 물질 안에서 동일한 것으로 가정하므로, P와 A가 x의 함수로 표현되는 형태라면 미소 길이 변화는 다음과 같습니다.

따라서 길이가 L인 비균일 단면봉에 대하여 봉 전체의 길이변화는 다음과 같습니다.

(ii) Application
<예제 1> 두 개의 단면봉의 길이변화

위 그림에서 봉 길이의 변화량 δ를 구해봅시다. AB 구간의 길이변화를 먼저 구하고 그 다음 BC 구간의 길이변화를 구하는 순서로 진행하겠습니다.

봉 AB는 길이가 L1, 탄성계수가 E1, 단면적이 A1으로 일정한 균일봉입니다.
봉 AB의 길이변화는 다음과 같습니다.


봉 BC는 길이가 L2, 탄성계수가 E2, 단면적이 A2으로 일정한 균일봉입니다. 이때, 봉 BC가 받는 축력(축 방향 힘)은 PA와 PB의 합입니다. 이는 평형조건식에서 구할 수 있는 반력입니다. 기본적인 정역학적 원리입니다.
봉 BC의 길이변화는 다음과 같습니다.

두 결과를 종합하면 봉의 줄어든 길이 델타는 다음과 같습니다.

<예제 2> 연속적으로 단면의 길이가 변하는 봉의 길이변화

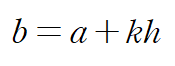
위와 같이 단면적이 불균일한 봉이 축력을 받고 있습니다. 높이가 h인 봉의 위 반지름은 a, 아래 반지름은 b입니다. 축력 P가 작용할 때 봉의 줄어드는 길이를 구해봅시다. (봉의 탄성계수는 E)
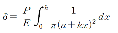
연속적으로 수직력 또는 단면적이 변하는 봉에 대해서는 아래 정적분 식을 이용해 봉의 길이 변화량을 구할 수 있습니다.

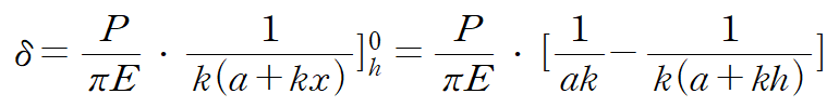
본 문제의 경우 수직력 N(x)=P로 고정되어있으니 δ는 아래와 같습니다.

이때 x축은 축력 P가 작용하는 축과 동일한 축으로 잡아주시면 됩니다. 즉 기둥의 축방향 = x축이 됩니다.

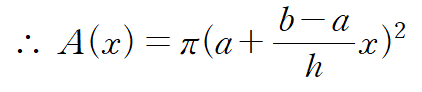
다음으로는 A(x)를 구합시다.

단면적 A(x)는 위와 같이 정의됩니다. r은 임의의 x에서 봉 단면적의 반지름입니다.
A(x)를 구하는 방법이 사실 어렵지는 않습니다만 그래도 보다 친절한 설명을 추구하기에 :) 과정을 생략하지는 않겠습니다.

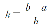
임의의 상수(기울기)k를 가지는 일차함수 형태로 r이 표현됩니다.
k를 구해야 하는데, 이것은 끝점 x=b에서의 반지름 r이 h임을 이용하면 쉽게 구할 수 있습니다.


k를 구해서 r에 대입하면 A(x)까지 완벽하게 구할 수 있습니다.


하지만 A(x)에 처음부터 k를 풀고 계산해버리면 조금 복잡하게 느껴질 수 있기 때문에(사실 어렵지는 않습니다.) k를 나중에 대입하도록 하겠습니다.

해서 처음 정적분 식은 아래와 같이 표현할 수 있습니다.

이제부터는 정적분을 계산해주는 과정입니다.


대입해줍시다


k를 정리해주면 δ를 봉과 관련된 수치 a,b,h로 나타낼 수 있습니다.

이상의 과정을 통해 축력 P로 인해 봉의 길이 변화량(수축) δ를 구해보았습니다.
Any Qustions, Any Comments are WELCOME :)
오타나 오류 지적 감사히 받습니다
'기계공학 > 4대 역학' 카테고리의 다른 글
| [유체역학] 압축성 유체의 압력분포 (2) | 2021.04.14 |
|---|---|
| [열역학] 포화온도, 포화압력 (2) | 2021.04.11 |
| [유체역학] 3. 공동 현상 (Cavitation) (0) | 2021.02.28 |
| [재료역학] 1. 훅의 법칙, 탄성계수 (0) | 2021.02.18 |
| [유체역학] 2. 체적탄성계수 (1) | 2021.02.14 |