액체에서 기체로의 변화, 즉 기화가 일어나는 현상은 크게 두 가지가 존재한다. 액체에서 기체로 변한다고 무조건 증발이 아니다. 액체 표면에서는 증발 현상, 액체 내부에서는 비등 현상이라고 한다. 고속 액체 유동(선박의 스크류)에서는 액체 내부에 하얗게 기포가 발생되는 것을 자주 볼 수 있는데, 이것을 공동 현상(Cavitation)이라 한다. 공동 현상은 쉽게 말해 고속 액체 유동에서 비등 현상이 일어나는 것이다.

(i) 증발(evaporation), 비등(boiling)
앞서 말했듯이 증발은 액체의 표면에서 발생하는 현상, 비등은 액체의 내부에서 발생하는 현상이다. 증발 현상(evaporation)의 원인은 공기에 대한 액체 분자의 분압(partial pressure)이 낮기 때문이다. 압력이 낮은 조건에서는 액체가 기체가 되는 포화증기압 또한 낮아지기 때문에 공기와 맞닿은 액체 표면의 분자들은 기체 상태가 된다.
반면 비등 현상(boiling)은 액체 내부에서 기포가 형성되는 것이다. 액체 내부의 분자가 포화증기압에 도달해(온도가 증가했든 어찌됬든) 기체 상태가 되어 기포가 형성된 것이다.
(ii) 공동(cavitation)
공동 현상(cavitation)이 비등 현상의 일종. 이라기보다는 비등 현상이라는 범주 안에 공동 현상이 포함된다고 보면 된다. 공동 현상은 선박의 스크류, 프로펠러 등 액체 내에서의 고속 유동 시 발생하는 기포들을 설명하는 현상이다. 고속 유동에 의해 국소 압력이 포화증기압보다 낮아지는 경우가 발생한다. 주로 액체와 맞닿는 스크류의 날 부분에서 국소 압력이 포화증기압보다 낮아지는데, 이때 비등 현상이 발생하게 된다. 온도가 낮은 바닷물임에도 불구하고 배가 지나가면 거품이 생기는 이유가 이것이다.
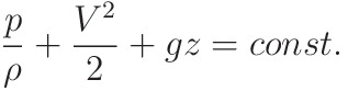
스크류 날 부분에서 국소 압력이 포화증기압보다 낮아지는 현상은 직관적으로 이해할 수 있지만 조금 더 '수학적'으로 이해를 하기 위해서 유체역학의 기본적인 원리가 되는 베르누이 법칙을 사용할 수 있다. 속도V가 증가하면 압력p가 감소한다는 사실을 주목하자.

공학자로서 공동 현상을 단지 고속 유동에 의해 기포가 생기는 간단한 현상으로만 받아들이기는 어렵다. 생성된 기포가 터짐(깨짐)에 의해 스크류 날이 침식 또는 파괴되고 소음도 유발하기 때문에 설계 시에 반드시 공동 현상을 최소화하는 구조로 디자인해야 한다.
'기계공학 > 4대 역학' 카테고리의 다른 글
| [열역학] 포화온도, 포화압력 (2) | 2021.04.11 |
|---|---|
| [재료역학] 2. 비균일 상태에서 봉의 길이변화 (0) | 2021.04.11 |
| [재료역학] 1. 훅의 법칙, 탄성계수 (0) | 2021.02.18 |
| [유체역학] 2. 체적탄성계수 (1) | 2021.02.14 |
| [유체역학] 1. 동점성계수 (0) | 2021.02.13 |