
체적계수라고도 하고 체적탄성계수라고도 부르는데, 체적탄성계수라는 용어가 더 대중적인 것 같다.
압축성(Compressibility)은 유체역학에서 고려해야 하는 중요한 물성이다. 압축성유체와 비압축성유체로 유체를 구분하는 것이 유체의 분석의 기초가 되며, 압축성유체냐 비압축성유체냐를 가르는 기준이 바로 체적탄성계수다.
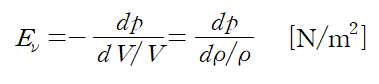
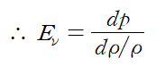
(i) Definition

체적탄성계수는 위와 같이 정의된다. p는 압력, V는 체적, ρ는 밀도를 의미한다. 첫번째 등식에서는 V가 원래 체적, dp가 미소압력변화, dV가 미소체적변화가 된다.단위가 재료역학, 고체역학에서 등장하는 탄성계수(Modulus of Elasticity)와 동일하다. 단위도 동일하게 파스칼(Pa)을 사용.
체적탄성계수는 양의 값을 갖는데 체적이 줄어들 때 압력이 증가하고, 체적이 늘어날 때 압력이 감소하므로 체적 곱하기 압력변화를 체적변화로 나눈 것에 마이너스(-)를 곱한 것으로 정의된다.


체적탄성계수는 "체적 V에 미소체적변화 dV를 주기 위해 얼만큼의 압력이 필요한가"라는 의미를 가지고 있다. 이 체적탄성계수가 큰 유체는 비압축성 유체(압축하기가 어려움), 상대적으로 작은 유체는 압축성 유체(압축이 용이함)로 구분된다. 100MPa이상이면 비압축성, 미만이면 압축성 같이 명확한 기준이 있는 건 아니지만 비압축성 유체와 압축성 유체의 체적탄성계수 차이가 꽤 크기 때문에 구별하는 데 어려움은 없다.
(ii) Application
체적탄성계수의 분모가 dV/V인 이유가 있다. dV/V는 체적 변화 비율을 의미하는데, 보통 dV/V = -1%나 "체적이 0.5% 감소하였을 때" 와 같이 주어진다.
물의 체적탄성계수가 약 2.2GPa 인데 반해 공기의 체적탄성계수는 101KPa~143KPa 정도 된다. 20000배가 넘게 차이가 난다.
간단한 문제를 풀어보자
(예제)


분자에는 가해진 압력(압력변화)을, 분모에는 체적의 변화비율을 넣어 계산해주면 된다.
'기계공학 > 4대 역학' 카테고리의 다른 글
| [재료역학] 2. 비균일 상태에서 봉의 길이변화 (0) | 2021.04.11 |
|---|---|
| [유체역학] 3. 공동 현상 (Cavitation) (0) | 2021.02.28 |
| [재료역학] 1. 훅의 법칙, 탄성계수 (0) | 2021.02.18 |
| [유체역학] 1. 동점성계수 (0) | 2021.02.13 |
| [정역학] 힘 - 우력계 (Force-Couple System) (2) | 2021.02.06 |