#유체역학

0. Introduction
물체가 유체 내부에서 움직일 때, 또는 물체 주위를 유체가 지나갈 때 물체의 운동방향과 반대로 작용하는 항력(Drag)이 발생합니다.
항력은 단순히 물체를 반대 방향으로 미는 것으로 인해 발생하기도 하지만 표면과 유체 입자 사이의 마찰로 인해 항력이 발생합니다.
운송수단의 경우 항력이 연료를 더 많이 소비하게 만드는 주된 이유가 되기 때문에 형상을 조정하거나 표면처리를 하는 등 항력을 줄이기 위한 다양한 연구가 진행되고 있습니다.

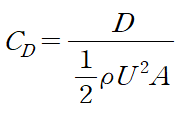
1. Drag Coefficient
항력계수(Drag Coefficient)는 다음과 같이 정의됩니다.

우변의 분자에 위치한 D는 Drag, 분모에 위치한 U는 유체의 속력, A는 유동방향으로 투영한 물체의 단면적입니다.
이 항력계수는 물체의 형상과 레이놀즈 수를 비롯한 여러 무차원 수, 표면 거칠기 등의 함수로 나타낼 수 있습니다.
보통 실험 및 시뮬레이션을 통해 측정되며 Exact한 관계식으로 표현하는 것은 불가능에 가깝습니다.
같은 질량과 부피를 가진 두 물체도 형상과 표면 거칠기가 다르면 항력계수도 달라집니다.

Fundamentals of Fluid Mechanics(2009), Munson B.R.
위와 같은 타원형 형상에 대한 항력계수를 실험을 통해 얻은 데이터입니다.
이는 형상과 레이놀즈 수를 고정하고 항력계수를 오직 특성길이(l/D)만의 함수로 가정한 결과입니다.
다양한 형상에 대한 레이놀즈 수 기반으로 항력계수를 측정할 수도 있습니다.

Fundamentals of Fluid Mechanics(2009), Munson B.R.
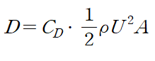
또한 항력계수를 알고 있으면 특정 속도로 유체가 흐를 때 물체에 작용하는 항력을 계산할 수 있습니다.


'기계공학 > 4대 역학' 카테고리의 다른 글
| [재료역학] 모어 원 그리는 법(Morh's Circle) (0) | 2024.06.12 |
|---|---|
| [유체역학] 운동량 적분 방정식 유도(Momentum Integral Equation) (1) | 2023.10.06 |
| [유체역학] 수력도약(Hydraulic Jump) (1) | 2023.08.05 |
| [재료과학] 재휘현상(Recalescence) (0) | 2023.06.30 |
| [유체역학] 파이프 유동 예제 : 에너지 법칙, 수두손실 (0) | 2023.04.19 |